
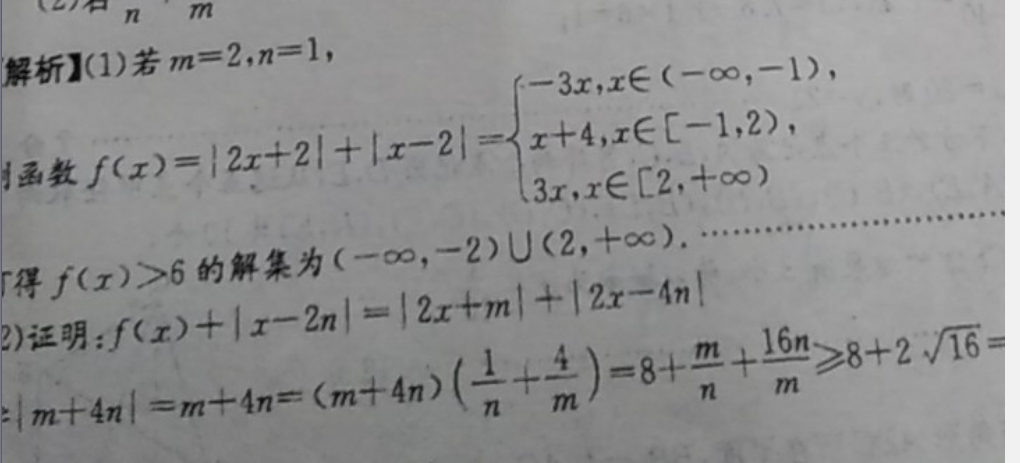
解析】(1)若m=2,n=1,-3x,x∈(-∞,-1),数(x)=12+2+1x21x+4,x∈[-1,2)3x,x∈[2,+∞)「得f(x)>6的解集为(-∞,-2)U(2,+∞)+1x-2nx+m1+12x-4n)证明:f8+m+1>8+2/16n+4x=m+4m=(m+4m)(n+m

【解析】K(HxX)=c(H)c(X),K,(HY)=(H)c(Y-)从为0时,HXc(xc(HX)(HY)c(Y-)c(H=1,此时K=c(H'),由图可知L表示的酸的电离常数约K约为10-,L2表示的酸的电离常数约为K,=10-43,题中已知K,(HX)=3.2×10-3,从数量级可判断出L1表示的酸是HY,L表示的酸是HX,A项错误;根据电离常数可知HX酸性强于HY,根据强酸制弱酸判断可发生反应HX+Y=HY+X-,B项正确;加入20 mL NaOH溶液时所得溶液为NaX与NaY的混合溶液,此时溶液显碱性,c(OHˉ)>c(H*),根据物料守恒c(Na’)c(X)+c(Y)+c(HX)+c( HY), lHt c( Na)+c(0H")>c(X)+c(Y)+c(HX)+c(HY)+c(H),C项错误;从图上可判断出pH=7时kg(X),g(Y-),即Hc( HX)c(HYc(Y-)c(HY),D项错误。
以上就是2022 英语周报 九年级 外研综合 31答案,更多英语周报答案请关注本网站。
本文地址: http://www.ncneedu.cn/post/2320.html
文章来源:admin
版权声明:除非特别标注,否则均为本站原创文章,转载时请以链接形式注明文章出处。
2023-04-05admin
2023-04-05admin
2023-04-05admin
2023-04-05admin
2023-04-05admin
2023-04-05admin
2023-02-24admin
2023-02-24admin
2023-02-24admin
2023-02-24admin
扫码二维码
获取最新动态
