

8.(15分)(1)-746kJ(2分)ABC(2分)5(2)①<(1分)该反应放热,温度升高,平衡逆向移动,N的物质的量减小(2分)②0.032mol·Ll·min-(2分)4(2分、320③60%(1分)G小于(1分)甲中温度低,因此反应物转化率大压强变化大(2分)【解析】(1)已知:I.N2(g)+O2(g)、2NO(g)△H=+180kJ·mol',Ⅱ.2CO(g)+O2(g)2CO2(g)△H=-566kJ·mol-,根据盖斯定律一I得,2CO(g)+2NO(g)N2(g)+2CO2(g)△H=-746kJ·mol-。该反应是气体体积减小的反应,在恒温恒压密闭容器中进行该反应时,混合气体的密度、平均摩尔质量不再改变,均说明反应达到平衡状态,A、B项正确;反应过程中NO的分压不断减小,CO2的分压不断增大,二者分压之比不再改变说明反应达到平衡状态,C项正确;断裂1molN=N键的同时断裂4molC=O键描述的均是逆反应方向,D项错误。(2)①甲、乙两容器中起始加入反应物的物质的量相同、起始压强相同,该反应为放热反应,温度升高,平衡逆向移动,N2的物质的量减小,故T1



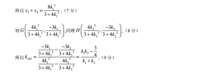
20.【命题意图】本题考查椭圆的方程及直线与椭圆的位置关系;考查数学运算及逻辑推理的核心素养【解析】(1)设A(x1,y),B(x2,y2),则x1+x2=-2,y1+y2=2且5+x2=1,5+2=1.两式相减得互一x=x2y+y2.M-=bm=2.3b2所以b23x+r, 5-x27又直线的方程为y-1=2(x+1),令x=0,得y=4所以2aa=2,b所以椭圆C的方程为二+=1.(5分)43(2)由题意得F(L,0),直线PQ,MN的方程分别为y=k1(x-1),y=k2(x-1)k1(x-1)设P(x2y),Q(x,)联立x2y2,得(3+4)x2-8k2x+4k2-12=0所以x3+x3+4k(7分)3+4k233+4k23+4k2.(8分)1-3k2所以=3+“3+4kk:一4(0分)由k1+k2=-1得ka-4+k1(k1+1),(10分)所以直线GH的方程为y3+4整理得y3x-1)+7,(11分)所以直线GH过定点/3(12分)
以上就是2022 英语周报山西省 高一 课标 29答案,更多英语周报答案请关注本网站。
本文地址: http://www.ncneedu.cn/post/2316.html
文章来源:admin
版权声明:除非特别标注,否则均为本站原创文章,转载时请以链接形式注明文章出处。
2023-04-05admin
2023-04-05admin
2023-04-05admin
2023-04-05admin
2023-04-05admin
2023-04-05admin
2023-02-24admin
2023-02-24admin
2023-02-24admin
2023-02-24admin
扫码二维码
获取最新动态
