




21.(14分)(1)间溴乙苯(或3-溴乙苯)(1分)溴原子、碳碳双键(2分)(2)消去反应(1分)(1分)(3)B+H2化剂△COOHBHCH3(2分)COOH(4)吸收生成的HBr,提高反应的转化率(2分,答上COOH将生成的转化为COOK”不扣分)(5)12(2分)HOCH3(1分)CHO(6)CH=CHHCNH/H O催化CH2=CHCN催化剂CH,-CHCOOH七CH2CH(2分,其COOH他合理答案也给分)【解析】由信息推知,A为BH2CH3,B为BH-CH,D为B≡CH为COOH(1)A的化学名称为间溴乙苯或3-溴乙苯;B中所含官能团为溴原子、碳碳双键(2)C发生消去反应生成D;D的结构简式为BECH(3)由F生成G的化学方程式为+COOH催化剂BCHCH3OOH(4)K2CO3能吸收生成的HBr,并将生成的COOHCOOK转化为从而提高反应的转化率COOH(5)G为由信息知,其同分异构体中含有酚—OH和—CHO,苯环上的两个取代基的组合有一OH、一 CHBrCH2CHO或一OH、BrC—CH3或一OH、一CHCH2Br或一OH、CHOCHOCH2 CHCHO,4种,每种组合在苯环上的连接方式有邻、间、对3种,共12种同分异构体;其中核磁共振氢谱中有5组吸收峰的结构简式为BHOCHO(6)由信息知,CH=CH与HCN反应生成CH2=CHCN,进一步水解可生成CH2- CHCOOH,然后发生加聚反应即可得目标产物

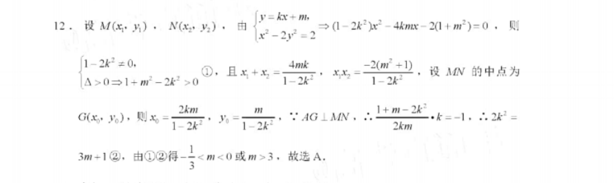
12.设M(x,n),N(x2,y→(1-2k2)x2-4kmx-201+m2)=0,则dmd①,且x+x设MN的中点为),则∵AG⊥MN2A2A3m+1②,由①②得-
以上就是初中英语周报八年级人教版答案,更多英语周报答案请关注本网站。
本文地址: http://www.ncneedu.cn/post/2277.html
文章来源:admin
版权声明:除非特别标注,否则均为本站原创文章,转载时请以链接形式注明文章出处。
2023-04-05admin
2023-04-05admin
2023-04-05admin
2023-04-05admin
2023-04-05admin
2023-04-05admin
2023-02-24admin
2023-02-24admin
2023-02-24admin
2023-02-24admin
扫码二维码
获取最新动态
