
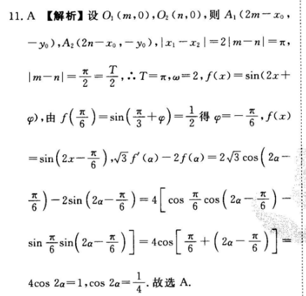
11.A【解析】设O2(m,0),O2(n,0),则A1(2m-xo,y),A2(2n-x0,-y),|x1-x2|=2|m-n|=π,m-n|=2=2,:T=x,=2,f(x)=sin(2x+9),由f()=si(+y)=得p=-,(x)si(2x-)f(a)-2()=23co(2a否)-2(2)-4[o(2-)sin - sin( 20)]-[+(2=)]一4cos2a=1,cos2a=4.故选A

第二节One possible versionI decided to organize a reading group to pass the time at Kindness Home. I have many friends and relatives who like reading books. I wrote e-mails to them and told them what I was considering. They were happyand supported my idea. Soon afterwards, my friends and relatives came to my place to get together for the firsttime. We discussed the activities and plans about the reading group together. We decided to read a book everytwo weeks and meet with me twice a week to talk about our reading experience.The members of our reading group also cared about other patients. With the progress of our reading activi-ties,other patients there showed great interest in reading, So our reading group members added another activityto help those patients read. We bought a lot of books for the patients As they devoted themselves to readingthey no longer felt lonely. We took turns to gather in each room and sometimes bought gifts for them. Time flewquickly in happiness, and I recovered to go home before I knew it.
以上就是七年级下册英语周报2o19一2022第31期答案,更多英语周报答案请关注本网站。
本文地址: http://www.ncneedu.cn/post/22583.html
文章来源:admin
版权声明:除非特别标注,否则均为本站原创文章,转载时请以链接形式注明文章出处。
2023-04-05admin
2023-04-05admin
2023-04-05admin
2023-04-05admin
2023-04-05admin
2023-04-05admin
2023-02-24admin
2023-02-24admin
2023-02-24admin
2023-02-24admin
扫码二维码
获取最新动态
