
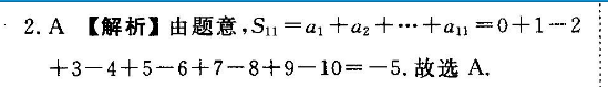
2.A【解析】由题意,S1=a1+a2+…+a1=0+1-2+3-4+5-6+7-8+9—10=-5.故选A.

1.B【解析】由数列可知an=1+2+22+…+212n-1,所以前99项的和为:S9=(2-1)+(22-1)+…+(2-1)=2+22+…+29-99=2(1-29)99=2100-101.故选B.1-2
以上就是英语周报2021-2022学年九年级上册新目标版第7答案,更多英语周报答案请关注本网站。
本文地址: http://www.ncneedu.cn/post/22519.html
文章来源:admin
版权声明:除非特别标注,否则均为本站原创文章,转载时请以链接形式注明文章出处。
2023-04-05admin
2023-04-05admin
2023-04-05admin
2023-04-05admin
2023-04-05admin
2023-04-05admin
2023-02-24admin
2023-02-24admin
2023-02-24admin
2023-02-24admin
扫码二维码
获取最新动态
