


16(1)hv-eUcuCd(2)R3)当2R≥d≥R时,B1=√;当2R

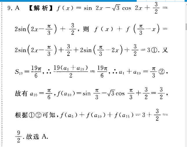
9.A【解析】f(x)=sin2x22sin(2x-x)+2,则f(x)+f(票-x)=32sin(2.x19(aa19)19T∴.a6故有an=6,f(a)=sin3-√3cs3+2=2,根据①②可知,f(a5)+f(a10)+f(a15)=332·故选A
以上就是2021-2022 英语周报 高考 GDY 31答案,更多英语周报答案请关注本网站。
本文地址: http://www.ncneedu.cn/post/2220.html
文章来源:admin
版权声明:除非特别标注,否则均为本站原创文章,转载时请以链接形式注明文章出处。
2023-04-05admin
2023-04-05admin
2023-04-05admin
2023-04-05admin
2023-04-05admin
2023-04-05admin
2023-02-24admin
2023-02-24admin
2023-02-24admin
2023-02-24admin
扫码二维码
获取最新动态
