
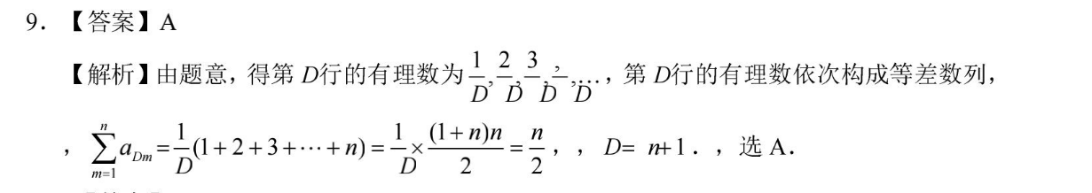
9.【答案】A【解析】由题意,得第D行的有理数为123DDD6…,第D行的有理数依次构成等差数列,∑1+2+3+…+n)I+n)n nD=m1.,选AD

11.D【解析】依题意,AB=BC=4,△ABC的面积S=3×4×4×=4√3,设三棱锥O-ABC的高为h,则三棱锥O-ABC的体积为V=-×S△ Bc X h43×h=8√3,解得h=6.因为△ABC的外接圆直径sin30°8,所以外接球的表面积S=4R2=4x×(36+16)=208丌
以上就是2019至2022英语周报八年级下册新目标第38期答案,更多英语周报答案请关注本网站。
本文地址: http://www.ncneedu.cn/post/21901.html
文章来源:admin
版权声明:除非特别标注,否则均为本站原创文章,转载时请以链接形式注明文章出处。
2023-04-05admin
2023-04-05admin
2023-04-05admin
2023-04-05admin
2023-04-05admin
2023-04-05admin
2023-02-24admin
2023-02-24admin
2023-02-24admin
2023-02-24admin
扫码二维码
获取最新动态
