

20.解:依题意,2c=22,故c=2,点C1(0,b),C2(0,-b)因为AC1⊥AC2,所以b=1,所以a=√62+c2=√3,所以椭圆的方程为+y2=1,离心率eC分(2)m2n的关系为m-n-1=0,证明如下:设直线MB,BP,NB的斜率分别为k1,k2,k3①当直线的斜率不存在时,由之+=1解得x=1y=×013622十又k1+k3=2k2,所以k2=1,所以m,的关系式为2=2,不妨设M(1,y),N(1,-),因为k1+k+1,即m-n-1=06分②当直线l的斜率存在时,设直线L的方程为y=k(x-1)将y=k(x-1)代人+y2=1整理化简得、(32+1)2-64x+3k2=3=0设M(x),y)M(2y2),则x1+x2=623k2-33k2+1x1x2-3k2+1设M(x)y1)N(x2y2),则x1+x2=623k2-33k2+13k2+1又y1=e所以k1+k-y2(2-y)(3-x2)+(2-y2)(3-x1)3(3-x1)(3-x2)1)](3-x2)+[2-k(x2-1)](3-x1)3(x1+x2)+92x:1x2-(4+2)(x1+x2)+6+122比、3k2-32Gk(4k+2)×2-1+6k+123k2+13(x1+x2)+932+13x6k2x+93k-3k2+12(12k2+6)72k2+62.所以2k2=2,所以k2m3=1,所以m,n的关系式为m-x-1=012分综上所述,m,n的关系式为m-n-1=0……··“…““……

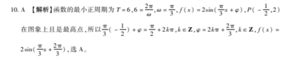
0A【解析】函数的最小正周期为7=6.6=2,=,f(x)=2m(3++),P(-,2)在图象上且是最高点,所以(2+9=+2km,kZ,9=2km+2,k∈Z,f(x)=2sin(x+=),选A。
以上就是2019~2022英语周报46期答案,更多英语周报答案请关注本网站。
本文地址: http://www.ncneedu.cn/post/2183.html
文章来源:admin
版权声明:除非特别标注,否则均为本站原创文章,转载时请以链接形式注明文章出处。
2023-04-05admin
2023-04-05admin
2023-04-05admin
2023-04-05admin
2023-04-05admin
2023-04-05admin
2023-02-24admin
2023-02-24admin
2023-02-24admin
2023-02-24admin
扫码二维码
获取最新动态
