
37.(15分,除标注外,每空2分)(1)敌百虫选择(2)为降解菌生长提供无机盐离子(2分),作为缓冲剂保持降解菌培养过程中培养基pH的稳定(2分)(3)稀释涂布平板法无菌操作(4)将未接种的培养基在适宜的温度条件下放置适宜的时间(2分),观察培养基上是否有菌落产生(1分)【解析】(1)需要加入敌百虫作为培养基的唯一碳源。从功能上看,该培养基属于选择培养基。(2)KH2PO4和K2HPO4既可以维持培养基的pH相对稳定,又能为细菌生长提供无机盐离子。3)为了确保能从土壤中分离出降解敌百虫的降解菌并进行活菌计数,应采用稀释涂布平板法接种,进行该操作时,需要做到无菌操作。(4)在接种前需要检测培养基是否被污染。对固体培养基采用的检测方法是将未接种的培养基在适宜的温度条件下放置适宜的时间,观察培养基上是否有菌落产生。

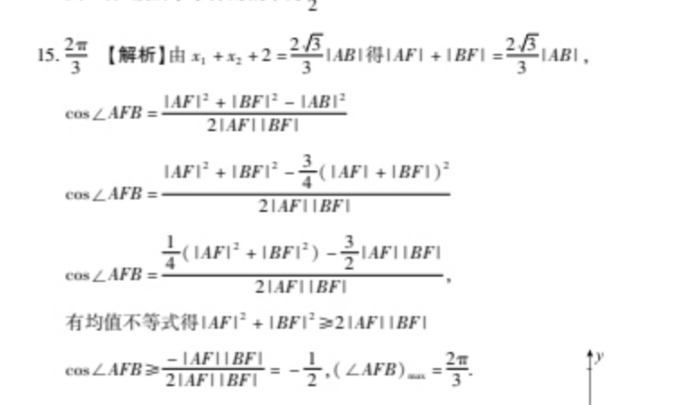
【解析】由x++2。3AB得|AF|+1BFl==|AB,cosZAFB IAFI+IBFI2-1ABI22IAFIIBFIlAFI+IBFI(AF|+1BF1)2os∠AFB=2IAFIIBFI(1AF12+1BFH)-24F11BFcos∠AFB=2IAFIIBFI有均值不等式得|AF12+1BF12≥2| IFIIBA∠AFB-lAFILB2IAFIIBFI,(∠AFB)=
以上就是2022高二北师大英语周报答案31期,更多英语周报答案请关注本网站。
本文地址: http://www.ncneedu.cn/post/2180.html
文章来源:admin
版权声明:除非特别标注,否则均为本站原创文章,转载时请以链接形式注明文章出处。
2023-04-05admin
2023-04-05admin
2023-04-05admin
2023-04-05admin
2023-04-05admin
2023-04-05admin
2023-02-24admin
2023-02-24admin
2023-02-24admin
2023-02-24admin
扫码二维码
获取最新动态
