
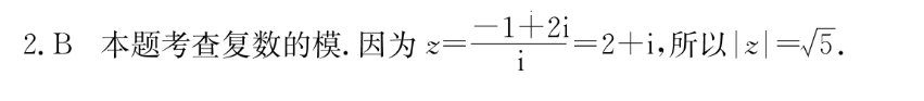
2.B本题考查复数的模.因为z1+2i=2+i,所以|xz

4.B本题考查充分必要条件.由不等式4>22,可得2x>x,即x>0,因为x>0是x>1的必要不充分条件,所以“4>2”是“x>1”的必要不充分条件
以上就是2021-2022 英语周报 九年级 新目标(HAW) 7答案,更多英语周报答案请关注本网站。
本文地址: http://www.ncneedu.cn/post/21798.html
文章来源:admin
版权声明:除非特别标注,否则均为本站原创文章,转载时请以链接形式注明文章出处。
2023-04-05admin
2023-04-05admin
2023-04-05admin
2023-04-05admin
2023-04-05admin
2023-04-05admin
2023-02-24admin
2023-02-24admin
2023-02-24admin
2023-02-24admin
扫码二维码
获取最新动态
