
13考向预测……导数的几何意义是高考的高频考点,常见的考查形式有:(1)利用导数的几何意义求曲线的切线方程;(2)利用导数的几何意义求参数的值或取值范围;(3)将导数的几何意义与其他知识结合进行考查,以突出导数的工具性作用题思路……由题知,2,当x=1时,y=-2,所以切线方程为y-3=-2(x-1),即y=-2x+5参考答案2x+5


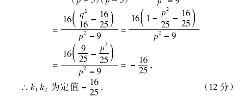
20.【名师指导】本题考查椭圆的标准方程、几何性质、直线与椭圆的位置关系,考査运算求解能力(Ⅰ)根据已知条件列出椭圆中基本量的方程,求出a2,b2,即可求解;(Ⅱ)根据斜率公式,得到h,k2的表达式,即可求解解:(1):椭圆C的离心率e==3,则点叫+3为了区525(2分)又25,b2故椭圆C的标准方程为(5分(Ⅱ)设点Q(p,g),则P≠3,q≠3k2b+3,h9(9分)k,h2(P+3)(p-3)161611625P9∴k1k2为定值5(12分)
以上就是2017-2018英语周报七年级外研第12期答案解析,更多英语周报答案请关注本网站。
本文地址: http://www.ncneedu.cn/post/21339.html
文章来源:admin
版权声明:除非特别标注,否则均为本站原创文章,转载时请以链接形式注明文章出处。
2023-04-05admin
2023-04-05admin
2023-04-05admin
2023-04-05admin
2023-04-05admin
2023-04-05admin
2023-02-24admin
2023-02-24admin
2023-02-24admin
2023-02-24admin
扫码二维码
获取最新动态
