

7.C【解析】自治权属于民族自治地区的自治机关,排除①。中华人民共和国成立后已经形成了新型的民族关系,排除③。川藏铁路的建设推动了西藏的发展,体现了各民族共同繁荣的原则,②正确。国家支持西藏发展,保障其发展权益,体现了人民当家作主的地位到切实保障,④正确。


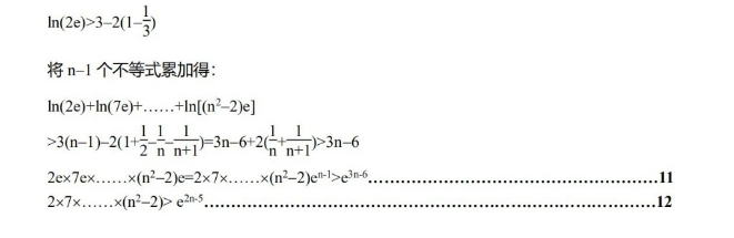
f(l)=0,f(1)=1所以f(x)在x=1处的切线方程为y=1(2)(x)≥x转化为kxte+mx恒成立设gx)=(K+e+hx2e,则g(x)=设h(x)=x-clnx(x≥e)h'(x)=h(x)在[e+∞)上单调递增,h(x≥h(e)=0,所以g(x)≥0,g(x)在[e,+∞)上单调递增,g(x≥g(e)-4故ks4(3令k=4由2知当xe时2x+c恒成立44e有1+lnx,即lnx≥3xte当n22时则有ln(n2-2)e]>34c)>3n(7e)>3-2(h(2)32-将n1个不等式累加得:n(2e)+hn(7e)+……+n(n2-2)e3(n-1)2(1)=3n-6+2(+1)>3n6ex7ex..(n2-2)e=2×7
以上就是2018-2022学年英语周报高三牛津HNX第1期答案,更多英语周报答案请关注本网站。
本文地址: http://www.ncneedu.cn/post/21299.html
文章来源:admin
版权声明:除非特别标注,否则均为本站原创文章,转载时请以链接形式注明文章出处。
2023-04-05admin
2023-04-05admin
2023-04-05admin
2023-04-05admin
2023-04-05admin
2023-04-05admin
2023-02-24admin
2023-02-24admin
2023-02-24admin
2023-02-24admin
扫码二维码
获取最新动态
