
10. ABC解析:A={x∈R|-3

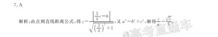
解析:由点到直线距离公式,得c又a=b+c,解得a=3
以上就是2018-2022九年级新目标英语周报第16期答案,更多英语周报答案请关注本网站。
本文地址: http://www.ncneedu.cn/post/20990.html
文章来源:admin
版权声明:除非特别标注,否则均为本站原创文章,转载时请以链接形式注明文章出处。
2023-04-05admin
2023-04-05admin
2023-04-05admin
2023-04-05admin
2023-04-05admin
2023-04-05admin
2023-02-24admin
2023-02-24admin
2023-02-24admin
2023-02-24admin
扫码二维码
获取最新动态
