

20.(12分)解:(1)“销售员”的日薪y1(单位:元)与销售件数x1的函数关系式为y-130x…x1>5,n∈N20x1+50,x1≤5,x2分送外卖员”的日薪y2(单位:元)与所送单数x2的函数关系式为3x2,x2≤20,x2∈Ny2=14x2-20,20

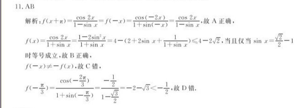
11.AB解析:f(x+r)=COs2x=f(-x)=CoN(=2x)-c82xr,故A正确,sIn.+sin(一x)cos 2r l-2sirI+sin r 1-+sin a=4-(2+2sinx++sin?)≤4-22,当且仅当sin时等号成立,故B正确,f(-x)≠-f(x),故C错,(-x)CO(-2x <故d错1+sin(一一)√3< p>故d错1+sin(一一)√3<>
以上就是英语周报2018-2022八年级外研版第九期答案,更多英语周报答案请关注本网站。
本文地址: http://www.ncneedu.cn/post/20989.html
文章来源:admin
版权声明:除非特别标注,否则均为本站原创文章,转载时请以链接形式注明文章出处。
2023-04-05admin
2023-04-05admin
2023-04-05admin
2023-04-05admin
2023-04-05admin
2023-04-05admin
2023-02-24admin
2023-02-24admin
2023-02-24admin
2023-02-24admin
扫码二维码
获取最新动态
