
18.解:(1因为2k0A=2-a,所以2b×+二=2-,即a2+2-b=a2分由余弦定理可得osB=g+24分因为0



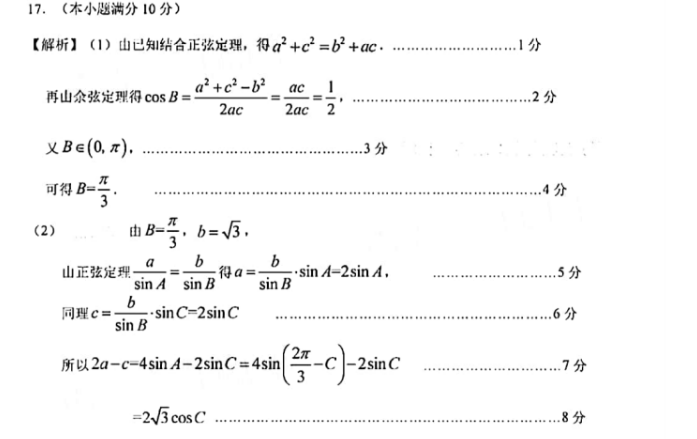
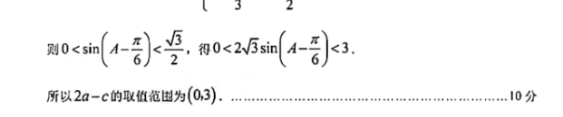
17.(木小题满分10分【解析】(1)山已知结合正弦定理,得a2+c2=b2+ac.…a2+c2-b2 ac I再山众弦定理得cosB=2分又B∈(0,x)3分可得B=z(2)由B=√3山正弦定理A-2sin A5分sin A sin B sin B同理c≡sin C-2sin C6分所以2a-c-4sm4-2imC=4sm(27-cimc7分3=2√3cosC8分0
以上就是英语周报七年级新目标2018-2022第九期答案,更多英语周报答案请关注本网站。
本文地址: http://www.ncneedu.cn/post/20922.html
文章来源:admin
版权声明:除非特别标注,否则均为本站原创文章,转载时请以链接形式注明文章出处。
2023-04-05admin
2023-04-05admin
2023-04-05admin
2023-04-05admin
2023-04-05admin
2023-04-05admin
2023-02-24admin
2023-02-24admin
2023-02-24admin
2023-02-24admin
扫码二维码
获取最新动态
