


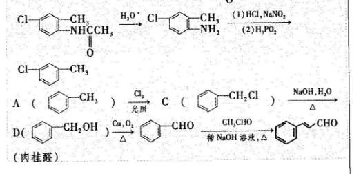
CH319.【答案】(1)2(1分)(2)取代反应(1分)不同(1分)(3)CH3CH= CHCHO(2分)(4CH2Cl+NaOH△CH2OH+NaC(2分)(5)22(2分)浓HNO3,浓H2SO(6)NO2(F,,°,NH稀HCl,(CHCO):OCH, COONacmn(3分)【关键能力】本题考查的关键能力侧重于分析与推测、归纳与论证能力。图解剖析CHCH,、表HNO3,浓HSONO. (1)Fe, HCI, H,O(2)OHCHB( O-NH,MICR CB D OC-N液氧NHCCH3氯化铁-CH;H,0 CICH(D)HCI, NaNO,NHCCHNH,: (2)H, PO 2NaOH. H, OCH光照C(CCH CICH2OH、Cua,O2CHOCH, CHOCHO稀NaOH溶液,△(肉桂醛)【解题思路】(2)苯环侧链上的氢原子被氯原子取代需要氯气、光照苯环上的氢原子被氯原子取代需要液氯、氯化铁,两个反应条件不同。(3)CHO为苯甲醛,不含α-H,所以只能发生乙醛和乙醛的反应、苯甲醛和乙醛的反应,得到CHCH= CHcHo和CH=CHCHO(5)除苯环外无其他环状结构,苯环上不止1个取代基,结合肉桂醛的结构知符合条件的同分异构体的苯环上可能有2个取代基,也可能有3个取代基。若苯环上有2个取代基,可以为C=CH与一CH2OH、CH2C=CH与一OH、一C=CCH3与-OH、CH=CH2与CHO,每种情况的2个取代基都有邻间、对3种位置关系,共有12种同分异构体。若苯环上有3个取代基,为-OH、一C≡CH与CH3,有10种同分异构体。符合条件的肉桂醛的同分异构体共有22种。(6)采用逆合成分析法分析合成路线a→可=CH(CH, CO),O


14.BD【关键能力】本题考查的关键能力侧重于分析与推测能力。【解题思路】lc(HX=0时,(X)=c(HX),K=c(H)·c(x-)c(H),此时直线l对应的K2=10-32,直线Ⅱ对应的K。=102,因为酸性HF>HCN所以直线I对应据(F,直线Ⅱ对应k(CN,A项错误;c点pH=9.2,溶液呈碱性,c(OHˉ)>c(H*),根据电荷守恒c(Na)+c(H)=c(OH)+c(X),可知c(Na)>c(X-),根据k8c(Hx)=0,可知(x)=(HN),B项正确由于酸性HF>HCN,而a点和b点溶液均呈中性,则HF溶液中需加入较多的NaOH,故c(Na),>c(Na),C项错误;b点到d点过程中,HCN浓度逐渐减小,NaCN浓度逐渐增大,因此水的电离程度增大,D项正确。器技巧5点拨》题中出现x(HX,要向电离常数转化,进而判断具体直线表示哪两种粒子浓度比值的对数。对于此类图象要关注交点、最高点、最低点、拐点等,进而解决问题。
以上就是八年级新目标英语周报2019到2022第28期答案,更多英语周报答案请关注本网站。
本文地址: http://www.ncneedu.cn/post/20531.html
文章来源:admin
版权声明:除非特别标注,否则均为本站原创文章,转载时请以链接形式注明文章出处。
2023-04-05admin
2023-04-05admin
2023-04-05admin
2023-04-05admin
2023-04-05admin
2023-04-05admin
2023-02-24admin
2023-02-24admin
2023-02-24admin
2023-02-24admin
扫码二维码
获取最新动态
