
42.(除注明外,每空2分,共15分)(n2时种群增长速率最快能持续获得较大的捕获量(3分)(2)Ⅳ1.6′N(3)K2样方能更直观的反映数量变化的趋势


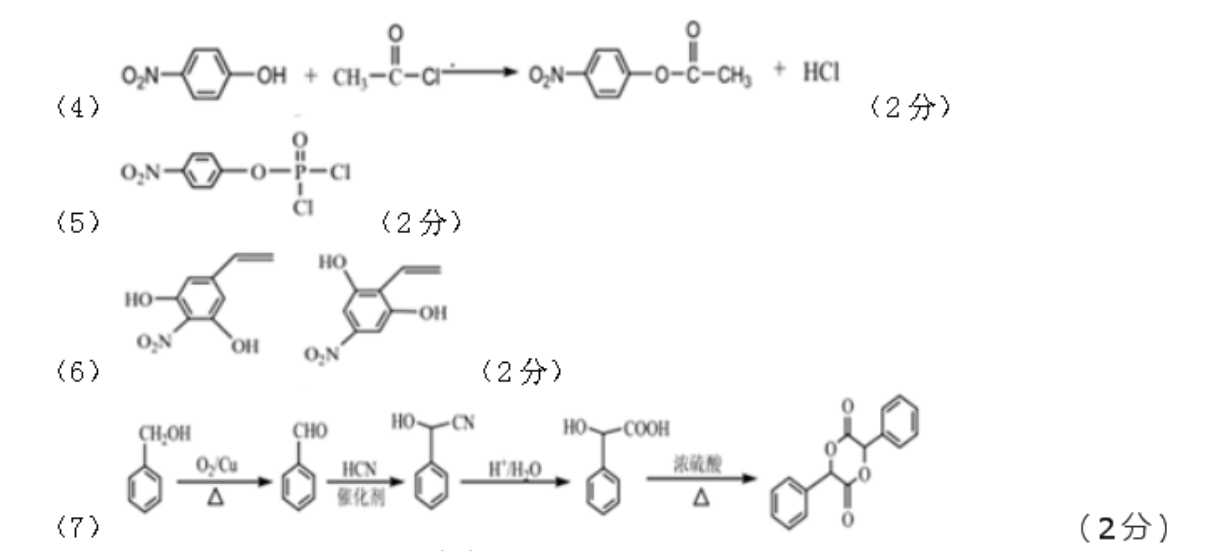
19.(12分)(1)对硝基苯酚(1分2)羧基、氦基(2分)3)加成反应(1分ONOH+ CH-C-CNO-C-CHa HCI4)(2分)ON①-0(2分)HO-OHO、N(6)O(2分)CH-OHCHOH/HO浓硫酸△催化剂△7)(2分)
以上就是2022英语周报安徽九年级新目标AHW答案,更多英语周报答案请关注本网站。
本文地址: http://www.ncneedu.cn/post/2020.html
文章来源:admin
版权声明:除非特别标注,否则均为本站原创文章,转载时请以链接形式注明文章出处。
2023-04-05admin
2023-04-05admin
2023-04-05admin
2023-04-05admin
2023-04-05admin
2023-04-05admin
2023-02-24admin
2023-02-24admin
2023-02-24admin
2023-02-24admin
扫码二维码
获取最新动态
