
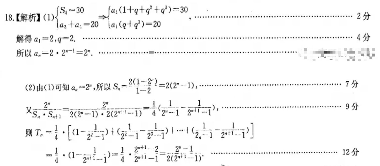
S4=30a(1+q+q2+q3)=3018.【解析】(1)2分a2+a;=20a1(q+q3)=20解得a1=2,q=24分所以an=2·21=2,(2)由(1)可知a=2",所以S=2(1-22=2(2"-1),………7分2Xs.s#;=2(2-12(2-1)=42-12=19分则Tn=左·()…t≈1.(1-2m-142m1-12(2i=y12分

22【解析】(1)直线l的普通方程为:3x-y+123=0;椭圆C的直角坐标方程为:1.……5分(Ⅱ)将直线l的参数方程代人椭圆C的直角坐标方程整理得:(3+sin2)2+(12cosg+8sing)t32=0,由题意得:1+t2=0,故12c0s+8np=0→k=tany=-y,所以直线l的斜率为一……………10分
以上就是2022英语周报九年级新目标人教版第10期答案,更多英语周报答案请关注本网站。
本文地址: http://www.ncneedu.cn/post/19834.html
文章来源:admin
版权声明:除非特别标注,否则均为本站原创文章,转载时请以链接形式注明文章出处。
2023-04-05admin
2023-04-05admin
2023-04-05admin
2023-04-05admin
2023-04-05admin
2023-04-05admin
2023-02-24admin
2023-02-24admin
2023-02-24admin
2023-02-24admin
扫码二维码
获取最新动态
