
2.B【解析】A∩B=13,5,7,9,所以集合A∩B中的元素个数为4

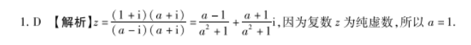
D【解析:=1+1)(a+1=-1+2+1;,因为复数:为纯虚数,所以a=1a2+1
以上就是2018-2022英语周报高一牛津AHW第3期答案,更多英语周报答案请关注本网站。
本文地址: http://www.ncneedu.cn/post/19817.html
文章来源:admin
版权声明:除非特别标注,否则均为本站原创文章,转载时请以链接形式注明文章出处。
2023-04-05admin
2023-04-05admin
2023-04-05admin
2023-04-05admin
2023-04-05admin
2023-04-05admin
2023-02-24admin
2023-02-24admin
2023-02-24admin
2023-02-24admin
扫码二维码
获取最新动态
