
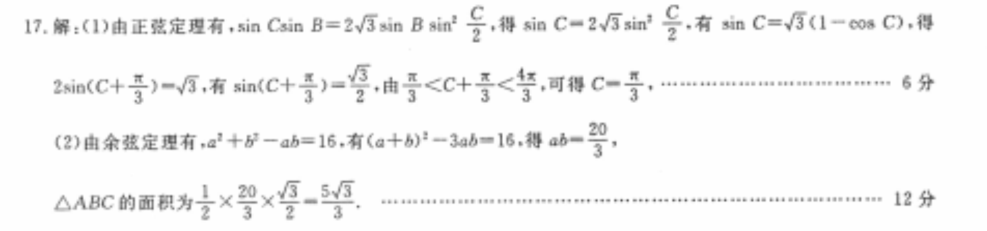
17解:(1)由正弦定理有, sin Csin B=23siBw2,得0c=2smn分,有snC=3(1-sC),得2mc+号)-,有(C+号)一由号

37.(15分,除标注外,每空2分)(1)线粒体②④(2)醋酸菌在液面大量繁殖(3)平板划线法稀释涂布平板法将未接种的培养基放在恒温箱中培养(4)海藻酸钠海藻酸钠的浓度偏低,固定的细胞数目过少
以上就是英语周报八年级新目标2018-2022第2期答案,更多英语周报答案请关注本网站。
本文地址: http://www.ncneedu.cn/post/19479.html
文章来源:admin
版权声明:除非特别标注,否则均为本站原创文章,转载时请以链接形式注明文章出处。
2023-04-05admin
2023-04-05admin
2023-04-05admin
2023-04-05admin
2023-04-05admin
2023-04-05admin
2023-02-24admin
2023-02-24admin
2023-02-24admin
2023-02-24admin
扫码二维码
获取最新动态
