
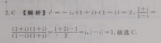
2.C【解析】=-1,(1+1)(1-1)=2.}=(1+i)(1+1)1+2i-1(1-i)(1+i)i,|-i|=1.故选C



17.解:(1)由正弦定理,得 sin Csin H+ sin Bcos AcosAsin B(2分LD sin Csin B+sin Bcos(A+B)=0.Bg sin Csin B-sin Bcos C-0.又B∈(0,x),所以sinB≠0所以sinC=cosC.且C∈(0.)所以C=(6分(2)依题意,a=2R·sinA,b=2K·sinB所以S= hsin C= v2R sin Asin B-V2R sin Asin(x-A)RmA(号cOs A+√2R(sin Acos A+sinA)K(=2A+124)[=(2A)+(10分)所当A=B=时[倍=(-号)+号]大,R最小,依题意知R=1,此时△ABC的外接圆面积为元(12分)
以上就是2022英语周报答案八年级上册新目标第4期ahw,更多英语周报答案请关注本网站。
本文地址: http://www.ncneedu.cn/post/19235.html
文章来源:admin
版权声明:除非特别标注,否则均为本站原创文章,转载时请以链接形式注明文章出处。
2023-04-05admin
2023-04-05admin
2023-04-05admin
2023-04-05admin
2023-04-05admin
2023-04-05admin
2023-02-24admin
2023-02-24admin
2023-02-24admin
2023-02-24admin
扫码二维码
获取最新动态
