
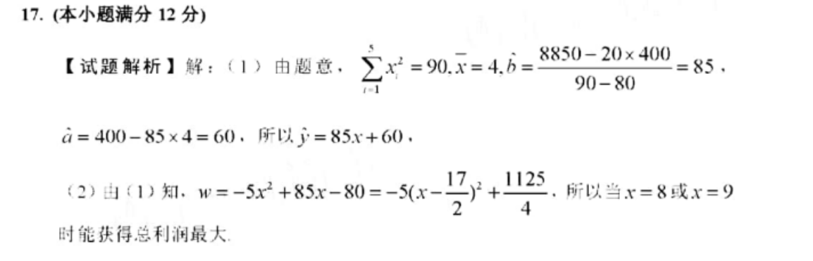
17.(本小题满分12分)8850-20×400【试題解析】解:(1)由题意,x2=90.x=4.b==85,90-80a=400-85×4=60,所以y=85x+60,7、2.1125(2)由(1)知.w=-5x2+85x-80=-5(x--)2,所以当x=8或x=92时能获得总利润最大

19.(本小题满分12分)【试题解析】解:(1)由题意a1+a19=20可知q=4·进一步解得a1=4a,9+aq目{an}的适项公式为an=4.(6分)(2)b,=log, a,=log, 4=2n, S,=2n+n(n-1).2=n+n2n2≤2.当且仅当n=3时=成立S+9n2+n+9n+-+1目的最大值为=(12分)S+9
以上就是2018----2022高二英语周报第4期答案,更多英语周报答案请关注本网站。
本文地址: http://www.ncneedu.cn/post/19069.html
文章来源:admin
版权声明:除非特别标注,否则均为本站原创文章,转载时请以链接形式注明文章出处。
2023-04-05admin
2023-04-05admin
2023-04-05admin
2023-04-05admin
2023-04-05admin
2023-04-05admin
2023-02-24admin
2023-02-24admin
2023-02-24admin
2023-02-24admin
扫码二维码
获取最新动态
