
6.【答案】B【解析】因为4=5,y=le5,所以x+y=log5+lg5=lg8=2,故选B

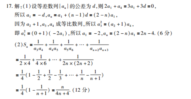
17.解:(1)设等差数列{an}的公差为d,则2a1+a4=3a1+3d=0,所以a1=-d,an=a1+(n-1)d=(2-n)a1,因为a2+1,a3,a4成等比数列,所以a3=(a2+1)a4,即a=(0+1)(-2a1),所以a1=-2,an=(2-n)a1=2n-4.(6分)(2)S.=1+1+1+…:+-134 a4a2×44×61(11nn+(1n+14n+4(12分)
以上就是2017-2018英语周报高一课标第16期答案解析,更多英语周报答案请关注本网站。
本文地址: http://www.ncneedu.cn/post/18966.html
文章来源:admin
版权声明:除非特别标注,否则均为本站原创文章,转载时请以链接形式注明文章出处。
2023-04-05admin
2023-04-05admin
2023-04-05admin
2023-04-05admin
2023-04-05admin
2023-04-05admin
2023-02-24admin
2023-02-24admin
2023-02-24admin
2023-02-24admin
扫码二维码
获取最新动态
