

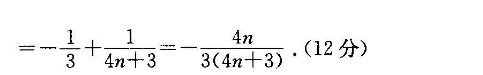
18.参考答案解:(1)设{an}的公差为d由S1=1知等差数列{an}的首项为1,所以S2a(2分)由S2,S3-1,S4成等比数列可得(S3-1)2=S2S4所以(2+34)2=(2+d)(4+64),解得d=2或d.(4分)由数列{an}是递增的等差数列知d>0,所以d=2,所以an=1+2(m-1)=2n-1.(6分)2因为么一-2a1)+,=(-1y(n1+2+3)8分)所以T2n=b1+b2+b3+b4+…+b2m-1+b2n=-(3+吉)+(3+)-(号+号)+(b+1)…一(4n-14n+1)(4n+14n+34n3(4n+3)·(12分)


6.答案:B(“表明孩子们极富想象力和他们的天真可爱不当,这样写是为了照应上文“他从一出生就住在城市里,从来没看过森林7.答案:D("单一叙事角度贯穿始终”错误,本文的叙事角度灵活多变,先后从马可瓦多、小米开尔和阿斯托弗等人的视角展开。)8.参考答案:①“寒冷"是对外部环境特征的强调:开头的环境描写,为马可瓦多一家设置了极度窘迫的生存环境;(1分)②寒冷"是情节发展的条件;为下文马可瓦多和小米开尔兄弟出门找柴取暖的情节做了铺垫;(1分)③"寒冷"是对人物心境的烘托:结尾处通过描写环境的安静和清冷,衬托了马可瓦多内心的无奈、孤独和凄凉;(1分)④寒冷”是对小说主旨的揭示:寒冷的不仅仅是天气,更是以马可瓦多为代表的底层人窘迫的社会处境表达了对他们艰辛生活和不幸命运的同情。(1分)9.参考答案:荒诞的主要体现①情节荒诞。如小米开尔误把广告招牌当做森林(马可瓦多知道了小米开尔拆的是广告牌还要学习小米开尔的做法),警察阿斯托弗把广告牌上的假人当成真人、把锯广告牌的马可瓦多当成假人等情节,都是违背现实的,带有明显的荒诞性②笔法(设定)荒诞。小说情节是对现实生活的夸张变形。如现实生活中,城市里不可能没有树木,上学的小孩也不可能没有见过树木,而作品却把小米开尔写成连树和广告牌都分不清,是对现实生活进行夸张变形的荒诞笔法(答出一点2分,两点3分)真实的主要体现①塑造的人物真实。马可瓦多和家人的处境都是当时社会生活中底层人物的真实处境②情节发展符合逻辑。如马可瓦多为什么会出门找木柴、马可瓦多为什么会同意拆广告牌、正在拆广告牌的马可瓦多为什么没被发现等情节,都有前文的呼应与合理的解释③用荒诞的手法反映了真实的社会状况。底层百姓在极度严寒和窘迫中,往衣服里塞报纸御寒、砍柴取暖:马可瓦多和家人走投出路以至于要拆广告牌虽然荒诞,但也反映了穷苦百姓为了生计不顾一切寻找出路的悲惨真相,这些都是当时社会现实的真实反映。(答出一点得1分,答出任意两点得3分)
以上就是2021-2022 英语周报 高一 GYQ 1答案,更多英语周报答案请关注本网站。
本文地址: http://www.ncneedu.cn/post/1865.html
文章来源:admin
版权声明:除非特别标注,否则均为本站原创文章,转载时请以链接形式注明文章出处。
2023-04-05admin
2023-04-05admin
2023-04-05admin
2023-04-05admin
2023-04-05admin
2023-04-05admin
2023-02-24admin
2023-02-24admin
2023-02-24admin
2023-02-24admin
扫码二维码
获取最新动态
