

Paragraph 1A seat beside her was empty, and Dannis occupiedHe ielt a wave of anger swept over him. "Where is mywallet?"he yelled. The black-haired girl glanced up fromher reading, with a confused look on her face. Dannis stoodup, glared at her and shouted, "You stole my wallet! "Thecrowds began to gossip. The girl turned deadly palelooking so restless that words failed her. A strange silencehung in the air. Abruptly, she leaped from the seat.Paragraph 2:The girl ran and Dannis ran after her. After awhile, Dannis finally grabbed her by the arm. At exactlyhat moment, a policeman approached them and askedbout what happened. Dannis hastened to explain it whilethe girl frowned with a shake of her head. After furtherenquiries, the policeman took out a wallet and banded it toDannis,adding that someone had found it in the toiletWhat a mistake he had made! Overwhelmed byyDannis made an apology to thegirl.


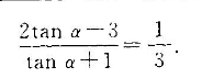
2sin a-3cos14.【解析】由题意,得tana=2,所以一sin g 1-cos atan c-3 1tan a+1 3
以上就是2021-2022英语周报七年级新目标41期答案,更多英语周报答案请关注本网站。
本文地址: http://www.ncneedu.cn/post/18120.html
文章来源:admin
版权声明:除非特别标注,否则均为本站原创文章,转载时请以链接形式注明文章出处。
2023-04-05admin
2023-04-05admin
2023-04-05admin
2023-04-05admin
2023-04-05admin
2023-04-05admin
2023-02-24admin
2023-02-24admin
2023-02-24admin
2023-02-24admin
扫码二维码
获取最新动态
