
16.(1)彼竭我盈惧有伏焉(2分)当(2)小楼昨夜又东风恰似一江春水向东流(2分)(3)哀吾生之须臾羡长江之无穷(2分)
C

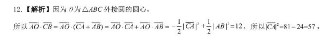
12.【解析】因为0为△ABC外接圆的圆心,所以和O·C=AO·(C+1B)=10C+AOAB=-|C4+AB|=12,所以C4=81-24=57,cDsB、BC下2+B2+B(1+81-57x(BC+28CHA2BC1×9181C8×2V2426所以当且仅当|BC1-24时cosB最小,此时角B最大,且此时AB+CA+|BC,△ABC是以角C为直角的南角三角形,所以Sm=14C1BC=1×57×26=√342=33,故选C
以上就是2018-2022英语周报八下第40期HBE答案,更多英语周报答案请关注本网站。
本文地址: http://www.ncneedu.cn/post/18097.html
文章来源:admin
版权声明:除非特别标注,否则均为本站原创文章,转载时请以链接形式注明文章出处。
2023-04-05admin
2023-04-05admin
2023-04-05admin
2023-04-05admin
2023-04-05admin
2023-04-05admin
2023-02-24admin
2023-02-24admin
2023-02-24admin
2023-02-24admin
扫码二维码
获取最新动态
