





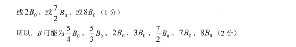
25.(20分)Bd(1)(4分)(2)Es9Bd(4分)(3)B可能为B、Bn、2B0、3B0、-B7B0、8B0(12分)【解析】(1)带电粒子在第一象限内做匀速圆周运动,由几何关系可知其轨迹半径r满足:d①(1分)cos30°M△由牛顿第二定律得qVQB0=m-②(2分)联立①②可得=9848(1分)(2)粒子在第四象限内做类平抛运动,从进入电场到第一次到达N点过程中r+rsin 30=1ar2④(1分)3d=vt⑤(1分)又qE=ma⑥(1分)联立③④⑤⑥得Es9Bd(1分)(3)粒子经过N点时的速度设为v,则由第(2)问知v4=at=√3,故v=2v⑦,且速度方向与y轴负方向的夹角为a=60°(1分)在第三象限的磁场中,粒子做匀速圆周运动,其半径为R,则有qvB=m-(1分)易知粒子从N(0,-√3d)开始做周期性运动,经过一个运动周期,粒子的位置沿y轴负方向下降△y=2Rsin60°+23d⑥(1分)若粒子是从电场进入磁场时经过P(0,-17√3d)点的,则满足:√3d+n:△y=17v3d⑩(1分)由于粒子在第三象限内的轨迹半径需满足:R-Rcos60°



25,(|解法考查考点:本题考查动量与能量及电磁感应的综合问题。考查能力:目的是考查学生的分析综合能力。满分秘籍:(1)设两导体棒碰撞前瞬间ω棒的速度大小为0,在推力作用的过程中,由动能定理有Pt20b(2分)2设ab与ad碰后瞬间的速率为v1,其值为3√2gr,由动量守恒定律有mb=2m(2分)解得p=36mg7(1分)(2)对两导体棒沿圆弧形导轨上滑的过程,由机械能守恒定律有2m2=2mgr(2分)解得(1分)(3)经分析可知,两导体棒上产生的总焦耳热为,由能量守恒定律有QQ+9=1>2m0-2m0(2分解得Q=32mgr(1分)(4)设导体棒第一次穿越磁场的时间为t1,该过程回路中的平均电流为1,DD与BB的间距为x1,由动量定理有BILt1=2mu-2v(2分)根据法拉第电磁感应定律和电路相美知识有BI解得x1=5RBaI(1分)由机械能守恒定律可知,导体棒再次回到BB处时的速度大小仍为v=√2gr,导体棒再次进入磁场向左运动的过程中仍用动量定理和相关电路知识,并且假设导体棒会停在磁场中,同时设导体棒在磁场中向左运动的时间为t,导体棒选入磁场后到停止运动的距离为Δx,该过程回路中的平均电流为,同前述道理可分别列式为BIL2=0-2mv(1分)l 2BL·△2(1分)3R解得△x=3mB2(1分)显然Δx
以上就是2021-2022英语周报高一外研第52期答案,更多英语周报答案请关注本网站。
本文地址: http://www.ncneedu.cn/post/16935.html
文章来源:admin
版权声明:除非特别标注,否则均为本站原创文章,转载时请以链接形式注明文章出处。
2023-04-05admin
2023-04-05admin
2023-04-05admin
2023-04-05admin
2023-04-05admin
2023-04-05admin
2023-02-24admin
2023-02-24admin
2023-02-24admin
2023-02-24admin
扫码二维码
获取最新动态
