

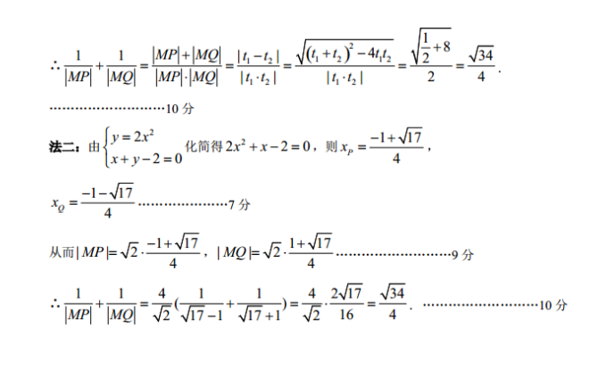
22.(本小题满分10分)选修44:坐标系与参数方程解:(I)曲线C的参数方程为消去参数a得曲线C的普通方程y=2y=cos 2a+12分2pcos(6-)=2, . Pcos 6+psin 6-2=0分又 pcos=x, sine=y∴直线l的直角坐标方程为x+y-2=0(Ⅱ)法一:设直线l的参数方程为(t为参数),将其代入曲线C的直角坐标方程化简得√21-2=0,8分Q_|4-2y+)-4MP MOg 42I1, I210分法二:由化简得2x2+x-2=0,则x从而|MP=√210Fv2.1+V17442√17MPMv7+1+7+)0分

6.①政府层面十分重视新冠疫苗的研制·较快吋间内便做出硏制疫的决定并安排部署,为疫苗研制提供有礼条件。②疫苗研制人员刻努力,同时划分多个技术路线,为疫苗的成动研制打下基础。③国家积极使用疫,加入推动疫菌普及使用的组织,推动其它国家解决问题,取得举世瞩目的成就
以上就是初中八年级英语周报新课标2019到2022。答案,更多英语周报答案请关注本网站。
本文地址: http://www.ncneedu.cn/post/16886.html
文章来源:admin
版权声明:除非特别标注,否则均为本站原创文章,转载时请以链接形式注明文章出处。
2023-04-05admin
2023-04-05admin
2023-04-05admin
2023-04-05admin
2023-04-05admin
2023-04-05admin
2023-02-24admin
2023-02-24admin
2023-02-24admin
2023-02-24admin
扫码二维码
获取最新动态
