
27.(14分)(1)升温(搅拌、增大硫酸浓度等)(1分)SiO2(1分)(2)FeTO3+6H=Fe2++Ti+3H2O(2分)(3)过滤(1分)(4)促进Ti水解趋于完全,得到更多的TiO2沉淀(1分)TSO4)2+2H2O=TiO2↓+2H2SO4(2分)(5) Sc(HAz)3.rTBP+ 3Na0H-&,Sc(OH)3+ 3NaHA2+xTBP (2(ot Sc(HAz)3 xTBP+ 6NaoH-4c(OH)3L+ 3Na2A2+xTBP +3 H2O)(6)Sc2O3(2分)(7)4(2分)



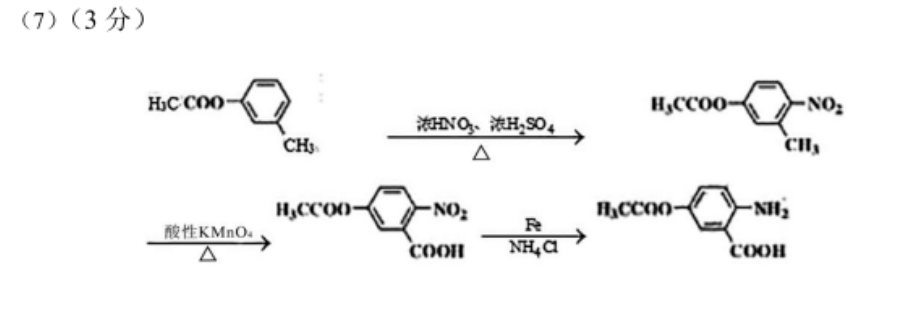
36.[化学一选修5:有机化学基础](15分)浓HSO(1)hNO3+H2O(2分)(2)Cl2、Fe或FeCl3(1分)(3)间氯硝基苯(或3—氯硝基苯、间硝基氯苯或3—-硝基氯苯)(1分)氯原子、氨基(2分)(4)OHONCooC2H5COO Na(2分)+2NaOH→+H20+C2HsOHCI(5)取代反应(1分)(6)12种(2分)ClN2(1分)(7)(3分)HC CooH, CCoo-NONo、浓H204△H,CCOnH,CCon酸性KMnO△cool NH,aCoOH
以上就是2022七年级上册英语周报第13期答案,更多英语周报答案请关注本网站。
本文地址: http://www.ncneedu.cn/post/1663.html
文章来源:admin
版权声明:除非特别标注,否则均为本站原创文章,转载时请以链接形式注明文章出处。
2023-04-05admin
2023-04-05admin
2023-04-05admin
2023-04-05admin
2023-04-05admin
2023-04-05admin
2023-02-24admin
2023-02-24admin
2023-02-24admin
2023-02-24admin
扫码二维码
获取最新动态
