
8.∵f(x)是定义在R上的奇函数,∴f(O)=0,当x>0时,f(x)=x2-2x,∴f(x)<0,0



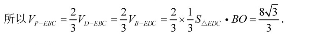
18.(本小题满分12分)D(Ⅰ)证明:如图3,作PQ∥DC交BC于点Q,连接AQ,因为BP=2PD,E所以PQ=DC=2…(2分)AB图3又AE∥CD,AE=2,所以AE∠PQ,即有四边形AEPQ是一个平行四边形,所以EP∥4Q(4分)因为EPg平面ABC,Qc平面ABC,所以EP∥平面ABC(2)解:设O是AC的中点,在正△ABC中,BO⊥AC,因为平面ABC⊥平面ACDE,且平面ABC∩平面ACDE=AC,所以BO⊥平面ACDE,且BO=2√3,而S△EDCCD●AC=-×3×4=6因为BP=2PD,所以点P到平面EBC的距离是点D到平面EBC距离的2所以V√3P-EBO3D.EBC=7BC=5xS△B·Bs833
以上就是2018-2022高二英语周报课表第32期答案,更多英语周报答案请关注本网站。
本文地址: http://www.ncneedu.cn/post/16087.html
文章来源:admin
版权声明:除非特别标注,否则均为本站原创文章,转载时请以链接形式注明文章出处。
2023-04-05admin
2023-04-05admin
2023-04-05admin
2023-04-05admin
2023-04-05admin
2023-04-05admin
2023-02-24admin
2023-02-24admin
2023-02-24admin
2023-02-24admin
扫码二维码
获取最新动态
