
16.(6分)(1)水击三千里持扶摇而上者九万里(2)无为在歧路儿女共沾中(3)倍鱼虾而友麋鹿举匏得以相属



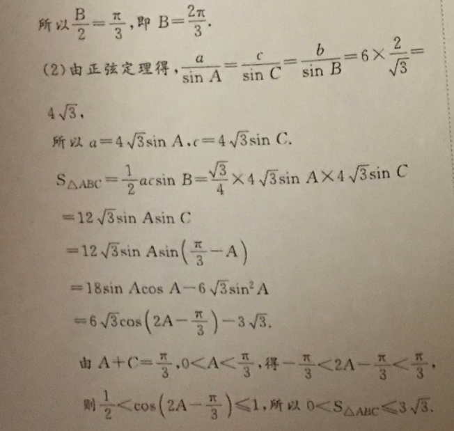
ACA+bcosa cos18.解:(1)tana(a2AA即sn( asIn+2bcos(COS2即a(cos3cos2 sIn sinCA2bsin22A2A+Cn AOs由正弦定理,得 sin acos-2sinA,A+C因为0
以上就是英语周报七年级下册新目标第30期答案,更多英语周报答案请关注本网站。
本文地址: http://www.ncneedu.cn/post/15768.html
文章来源:admin
版权声明:除非特别标注,否则均为本站原创文章,转载时请以链接形式注明文章出处。
2023-04-05admin
2023-04-05admin
2023-04-05admin
2023-04-05admin
2023-04-05admin
2023-04-05admin
2023-02-24admin
2023-02-24admin
2023-02-24admin
2023-02-24admin
扫码二维码
获取最新动态
