
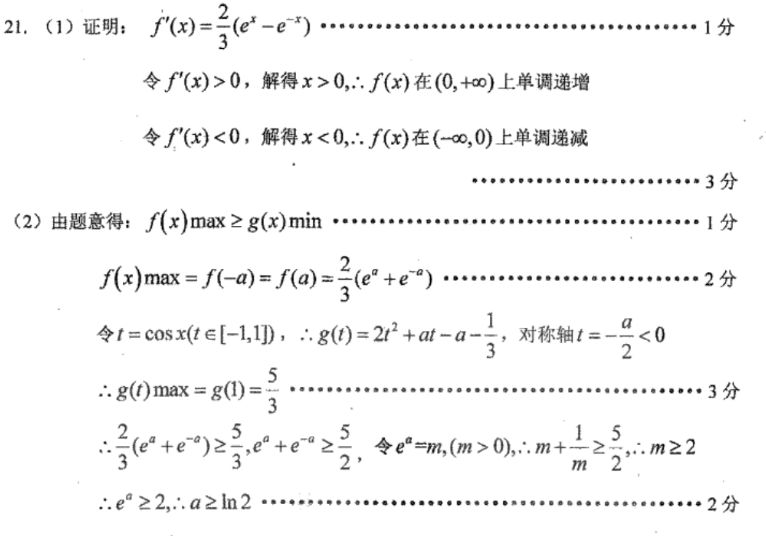
1.(1)证明:f(x)=(e-e)1分令f(x)>0,解得x>0,,f(x)在(0,+∞)上单调递增令f(x)<0,解得x<0,f(x)在(-∞,0)上单调递减3分(2)由题意得:f(x)max≥g(x)min………………………1分f(x)max=f(-a)=f(a)=(e"+e")…………2分令【=cosx(t∈[-1,1,∴g()=212+at-a-,对称轴t=-<0g()max=g(1)=·…………3分e+e°)≥,e"+e(m>O),m+-2,m≥2∴e≥2,a≥ln2…2分

(二)15.D16.①炼字独特。两个动词“随”和“趁”,特别传神,“随”是跟从,读者似乎感觉到水的流动:“趁”是追逐,读者似乎感觉到路上山花在风中摇曳。②使用了拟人手法。把“江月”和“山花”拟人化,“江月”和“山花”仿佛有了人的情感,使诗歌充满了灵动。③前后照应。“江月随人影”照应颔联的“舟移”,“山花趁马蹄”照应“路出”,构思巧妙。
以上就是九年级广州英语周报第32期2021-2022答案,更多英语周报答案请关注本网站。
本文地址: http://www.ncneedu.cn/post/15726.html
文章来源:admin
版权声明:除非特别标注,否则均为本站原创文章,转载时请以链接形式注明文章出处。
2023-04-05admin
2023-04-05admin
2023-04-05admin
2023-04-05admin
2023-04-05admin
2023-04-05admin
2023-02-24admin
2023-02-24admin
2023-02-24admin
2023-02-24admin
扫码二维码
获取最新动态
