
2.答案D命题透析本题以进口玉米价格已明显低于国内为情境,考查影响价格变动的因素的有关知识,考查考生调动和运用知识的能力,同时体现了对科学精神学科素养的考查。思路点拨从材料可以看出,受玉米需求量大幅减少影响,国际市场玉米价格呈下跌趋势,③可选;燃料乙醇是玉米的下游产品,④可选。材料没有涉及需求弹性问题,①不选;②与材料无关。

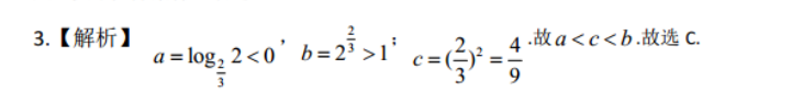
【解析】a=log22<0b=23>14.故a
以上就是英语周报2018-2022九年级第五期答案,更多英语周报答案请关注本网站。
本文地址: http://www.ncneedu.cn/post/15327.html
文章来源:admin
版权声明:除非特别标注,否则均为本站原创文章,转载时请以链接形式注明文章出处。
2023-04-05admin
2023-04-05admin
2023-04-05admin
2023-04-05admin
2023-04-05admin
2023-04-05admin
2023-02-24admin
2023-02-24admin
2023-02-24admin
2023-02-24admin
扫码二维码
获取最新动态
