
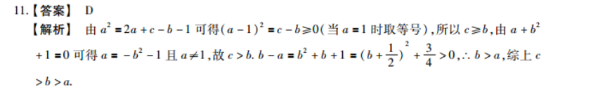
11.【答案】D【解析】由a2=2a+c-b-1可得(a-1)2=c-b≥0(当a=1时取等号),所以e≥b,由a+b2可得1且a≠1,故c>bb+b+1=(b+方)0,∴b>a,综上>b>

4.【答案】4x-y+1≥0【解析】作出满足不等式组{2x+y-4≤0的可行域如图所示y=-x+z-1,结合图象可知当直线过点C时,截距最大,此时z=x+y+1取得最大值,由即C(1,2),故z=x+y+1的最大值为4.12x+y-4=01y=
以上就是英语周报七年级下册2021-2022 57期答案,更多英语周报答案请关注本网站。
本文地址: http://www.ncneedu.cn/post/15154.html
文章来源:admin
版权声明:除非特别标注,否则均为本站原创文章,转载时请以链接形式注明文章出处。
2023-04-05admin
2023-04-05admin
2023-04-05admin
2023-04-05admin
2023-04-05admin
2023-04-05admin
2023-02-24admin
2023-02-24admin
2023-02-24admin
2023-02-24admin
扫码二维码
获取最新动态
