

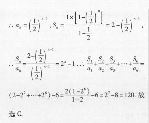
11.C【命题意图】本题考查等比数列的定义、通项公式及前n项和公式,体现了逻辑推理、数学运算等核心素养【解析】由数列{an|满足=1,得∴a1=2a2又a1+2a2=2,2a1=2,解得a1=1.∴数列{an}是首项为1,公比为方的等比数列,,a.=22n-1÷24-1.∴-+十十=(2+2+…+2)-6=2(1-2°)6=22-8=120.故选C





21.【命题意图】本题考查利用导数求函数的单调区间及最值、由函数的零点个数求参数的最值,考查转化与化归思想、数形结合思想,体现了逻辑推理、数学运算等核心素养【解】(1)当a=3时,函数f(x)=x+6则f(x)=-+6(3x-1)(2x+1)(x>0)(1分)令f(x)=0,得x=1(2分)当x变化时,f(x),f(x)的变化情况如下表)(f'(x)f(x)极小值综上可知(x的单调递减区间为3)单调递增区间为3,+∞,f(x)有最小值,无最大值,最小值为n1+6×1+1-6=-ln3-1(4分)(2)由题意,得f'(x)=9-2+2a(ax-1)(2x+1)令f(x)=0,得x=1当x∈(0,)时,r(x)0:当x∈(,+)时当x(.)时,广(x)<0当x(,+=)时f"(x)>0所以f(x)在0,0上单调递减,在,+∞)上单调递增,所以)1)=-(2(m+(60分)令f<0,得0 2(7分)由f(1)=1>0,f(<0,得函数f(x)在1上有且仅有一个零点(8分)=-3(a-2)lna+2+a3-2a(a>2)令F(a)=-3(a-2)lna+a3-2a(a>2),则F'(a)=-3na3(a-2)+32-2=-3lna+6令g(a)=-3a63a2-5(a>2),则g(a)=-3-5+6a=3(2n2)>3(a--2)=3(-2)(a+1)0所以F'(a)在(2,+∞)上单调递增,又F"(2)=10-3ln2>0,所以F'(a)>0,所以F(a)在(2,+∞)上单调递增又F(2)=4>0,所以F(a)>0所以>F(a)>0.又1),所以函数x)在(乙)上有且仅有一个零点(10分)所以当a>2时,函数f(x)有且仅有两个零点(11分)又a∈N,所以a的最小值为3(12分)
以上就是2018到2022英语周报高二课标第28期答案,更多英语周报答案请关注本网站。
本文地址: http://www.ncneedu.cn/post/14855.html
文章来源:admin
版权声明:除非特别标注,否则均为本站原创文章,转载时请以链接形式注明文章出处。
2023-04-05admin
2023-04-05admin
2023-04-05admin
2023-04-05admin
2023-04-05admin
2023-04-05admin
2023-02-24admin
2023-02-24admin
2023-02-24admin
2023-02-24admin
扫码二维码
获取最新动态
