
12.D【解析】由题意可知X的所有可能取值为1,2,3,4,当X=1时,P1=4×=B当X=2时,P2=6×(C+C+C)21=64;当X=3时,P1=4×3CC9A_31当X=4时,P“432E(x)=1×+31752X+3×+4X=-16264

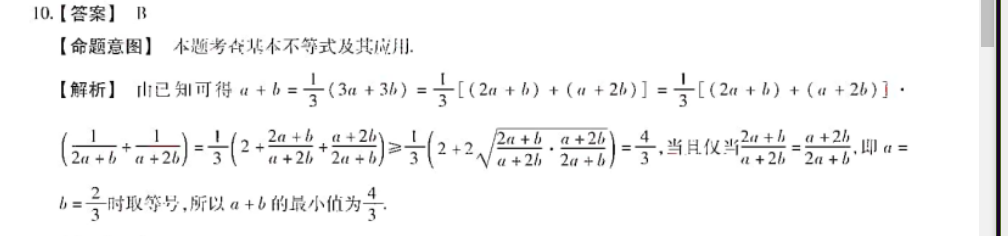
10.【答案】B【命题意图】本题考某本不等式及其应用【解析】已知可得+b=3(3a+3、(2n+b)+(+20)=3(2n+b)+(n+2b)2a +h(en +b a+2/当且仅当2a +h212a+b a+21a +26 2a+ba+2b2a+b)3+26 2n +bb=2时取等号,所以a+b的最小值为4
以上就是2022英语周报七年级下外延版33期答案,更多英语周报答案请关注本网站。
本文地址: http://www.ncneedu.cn/post/14712.html
文章来源:admin
版权声明:除非特别标注,否则均为本站原创文章,转载时请以链接形式注明文章出处。
2023-04-05admin
2023-04-05admin
2023-04-05admin
2023-04-05admin
2023-04-05admin
2023-04-05admin
2023-02-24admin
2023-02-24admin
2023-02-24admin
2023-02-24admin
扫码二维码
获取最新动态
