
16.考向冋预测……名篇名句默写为主观题,考查默写常见的名句名篇的能力。本题采用近几年形成的高中四空、初中二空,先秦二空、其他朝代四空,诗词和散文兼顾的命题形式解霾思路……本题考查默写常见的名句名篇的能力。情境式默写一定要准确理解提供的情境条件,如(1)中的“昼夜辛勤劳作”实际暗示了“夙兴夜寐”这句话;(2)中的“一线天”的意象只能是《三峡》中“自非亭午夜分,不见曦月”这两句;(3)中“随手连续弹”在字面上恰与“信手续续弹”相合考答案…(1夙兴夜寐靡有朝矣(2)自非亭午夜分不见曦月(3)低眉信手续续弹却坐便弦弦转急(6分,每句1分)





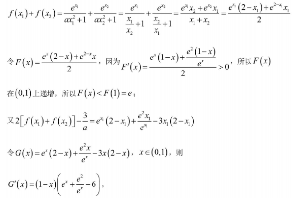
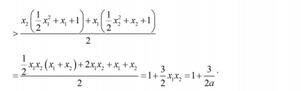
21.【详解】(1)因为f(x)=单调递增,所以ax+x+1f(x)=eax'+(1-2a)x20对任意x∈[0,+∞)恒成立,即ax≥2a-1对任意ax+x+Ix∈[0.+∞)恒成立,∴2a-1≤0,即0
时,令∫(x)=0得x∴f(x)在03q-1上递减
以上就是2019_2022八年级下册英语周报23期答案,更多英语周报答案请关注本网站。
本文地址: http://www.ncneedu.cn/post/14643.html
文章来源:admin
版权声明:除非特别标注,否则均为本站原创文章,转载时请以链接形式注明文章出处。
2023-04-05admin
2023-04-05admin
2023-04-05admin
2023-04-05admin
2023-04-05admin
2023-04-05admin
2023-02-24admin
2023-02-24admin
2023-02-24admin
2023-02-24admin
扫码二维码
获取最新动态
