

【解析】酸、碱均抑制水的电离,则四种溶液中由水电离出的c(H)均为1×1012molLA项正确;②、③等体积混合后,氨水过量,则溶液呈碱性,B项正确;①、②中的氢离子浓度与④中的氢氧根离子的浓度相等,但CH3COOH是弱酸,①中 CH3COOH的浓度远大于②中HC1的浓度,而2OH~3H2,2H~H2,所以②中生成H2的量最少,C项错误;稀释过程中,弱酸、弱碱会继续电离故将溶液稀释100倍后,溶液的pH:③④②①,D项正确。



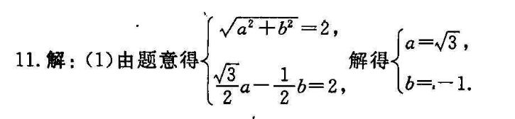
a=√3,11.解:(1)由题意得a2+b=2、b2b=2所以:x)=√3sing-cosx又因为(2)=2n(x一5)∈[2x],所以当x=π时,f(x)取得最小值是1(8分)(2)法一:由题得asin2x- SIn cos+a>0对x∈(o2)恒成立,dU a(1-cos 2x)-sin 2x+2a>0,即3a>sin2x+acos2x恒成立,所以3a>√a2+1,解得a>y2,故实数a的取值范圈是(,+∞)(20分)法二:利用分离变量法可得,只要a>2恒成立,即求y=5m2x+1的最大值tan因为y=sm2x+1=2m2x+c03x=2an2x+1,令nx=t(t>0),t+y=22+12t+-利用单调性易得函数u=2+的最小值为2√2,则1≤=y,所以2+12√2故实数a的取值范圄是(2,+∞(20分)
以上就是英语周报2021-2022七年级新目标gyq答案,更多英语周报答案请关注本网站。
本文地址: http://www.ncneedu.cn/post/14245.html
文章来源:admin
版权声明:除非特别标注,否则均为本站原创文章,转载时请以链接形式注明文章出处。
2023-04-05admin
2023-04-05admin
2023-04-05admin
2023-04-05admin
2023-04-05admin
2023-04-05admin
2023-02-24admin
2023-02-24admin
2023-02-24admin
2023-02-24admin
扫码二维码
获取最新动态
