
16.(1)庭下如积水空明水中藻、荇交横(2)水击三千里抟扶摇而上者九万里(3)淇则有岸隰则有泮





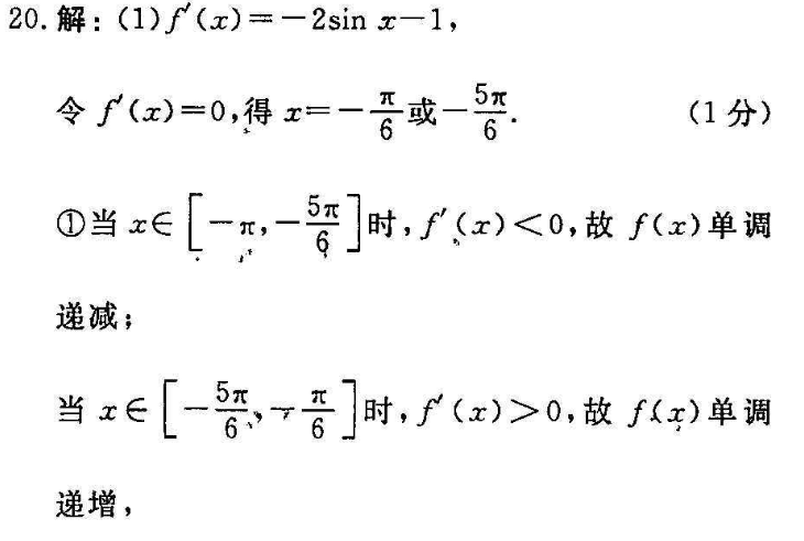
20.解:(1)f(x)=-2sinx-1,令f(x)=0,得x=-或5:6(1分)①当x∈L-,]时,f(x)<0,故f(x)单调递减;5当x∈一、—时,f(x)>0,故fx)单调递增,且f(-5)=5-3>0所以∫(x)在区间一x,-x上没有零点,(3分)②当x∈一,x时,f(x)<0,故f(x)单调递减,又f(-)=+>0,(m)=-2-n<0,f()f(π)<0.所以函数∫(x)在-x,x上存在唯一的零点综上所述,f(x)在[一,]上存在唯一的零点(6分)(2)若存在x∈(0,2),使得不等式f(x)+az>2成立,即存在x∈(0,),使20+ax-x-2>0成立& g(r)=f(r)+ar-2=2cos rtar-x-2,则g(0)=0,g(x)=a-1-2sinx,当x∈(0,2)时,1+2nx∈(1,3,所以g(x)∈(a-3,a-1),由于a-1≤0,即a≤1时,g(x)<0,g(x)单调递减,g(x)
以上就是2022年高二英语周报课标第五期答案,更多英语周报答案请关注本网站。
本文地址: http://www.ncneedu.cn/post/14219.html
文章来源:admin
版权声明:除非特别标注,否则均为本站原创文章,转载时请以链接形式注明文章出处。
2023-04-05admin
2023-04-05admin
2023-04-05admin
2023-04-05admin
2023-04-05admin
2023-04-05admin
2023-02-24admin
2023-02-24admin
2023-02-24admin
2023-02-24admin
扫码二维码
获取最新动态
