

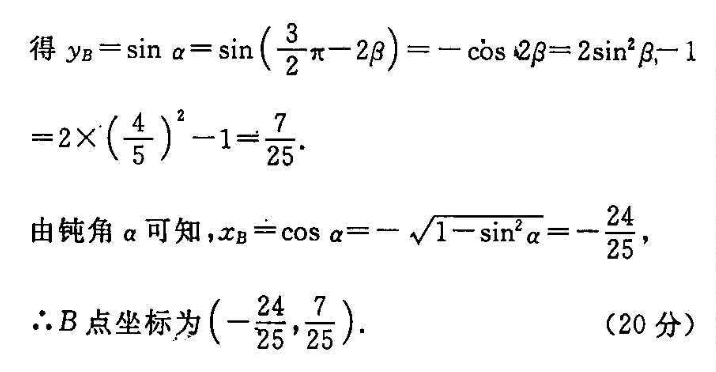
9解:(1)由三角函数定义可知,∠AOB=a由圆的性质可知∠AOB=π-2,B.(8分)(2)由sina=卫B,又r=1.得2=sna=sn(2x-2)=-c=21-1=2×(3)-1=由钝角a可知,xB=cosa=-√1-sin2a=2425B点坐标为2472525(20分)

8-Y【解析】根据题意知O=(m,y),OP(x2,y2),OP1·OP2=x1x2+yy,又P,P2在单位圆上,|OP1|=|OP2|=1,OP1OP2=|OP1|·l OP2 cos 0=cos 0, ED xIx+y1 y2=cos 0. .sin (8+sin fcos 8①,又sin20+cos201②,且0为钝角联立①②求得cosb=-y2,10
以上就是英语周报新目标八年级上册第一期答案,更多英语周报答案请关注本网站。
本文地址: http://www.ncneedu.cn/post/14211.html
文章来源:admin
版权声明:除非特别标注,否则均为本站原创文章,转载时请以链接形式注明文章出处。
2023-04-05admin
2023-04-05admin
2023-04-05admin
2023-04-05admin
2023-04-05admin
2023-04-05admin
2023-02-24admin
2023-02-24admin
2023-02-24admin
2023-02-24admin
扫码二维码
获取最新动态
