

4.(25分(1)CH2=CH2(2分)乇CH2CHC3(2分)HOOC(CH2)4COOH(2分)(2)CICH: CH: CI+ NaOH GH, OR, CH2-CHCl+NaC1+h,o(5 3) CICH, CH, CI+2NaOH-HOCH, CH, OH-+2NaCI(5 35)(3)加成反应(2分)缩聚反应(2分)(4)nHO(CH,)4-c--OH+nHOCH, CH2 OHHO-EC(CH2).-C--OCH2 CH,O3H t(2n-1)H2O(5分)【解析】由流程知,A为CH2=CH2,B为C2,C为CH2C-CH2Cl,D为 CHCl-iCH2,E为ECH2-CHC3,F为HOCH2CH2OH,G为HogC(CH,),COOH(1)k的结构简式为CH1=CH2,E的结构简式为ECH2CHcl,G的结构简式为HOOC(CH;). COOH(2)反应②为卤代烃的消去反应,化学方程式为CICH, CH, Cl-+NaOHCH,OH→CH2亠CHCl+NaCl+H2O;反应④为卤代烃的水解反应,化学方程式为H. OCICH, CH, CI 2NaOHHOCH2 CH, OH tnAcL(3)反应①为加成反应,反应⑤为缩聚反应。(4)反应⑤的化学方程式为Ho-C(CH2)OH nHOCH, CH, OHO浓硫酸Ho-EC-(CH:).C-OCH, CH,0H+△(2n-1)H2O。





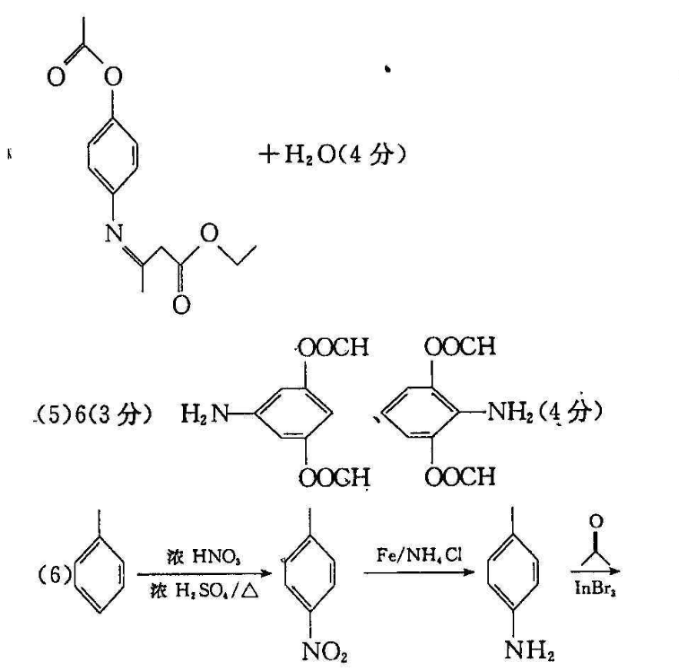
2.(25分)(1)对硝基苯酚(或4-硝基苯酚)(2分)(2)还原反应(2分)取代反应(2分)(3)酯基(2分)C15H17NO4(2分)oOIn Br3(4)NH2OH2O(4分)OOOCHOOCH(5)6(3分)H2NIH2(4分)OocH OOCH浓HNO3Fe/NH, CI(6浓H2SO4InBr3NO2(4分,其他合理答案也给分)【解析】(1)A的名称是对硝基苯酚或4硝基苯酚。(2)反应②为还原反应,反应⑥为取代反应3中含氧官能团的名称是酯基,G的分子式为C15H17NO4oO(4反应③的化学方程式为NH2NbR,十H2O。(5)由题意知,N苯环上的3个取代基为2个甲酸酯基和1个氨基,有6种结构;其中核磁共振氢谱有4组峰,且峰面积之比为2:2:2:1的结构简式为OOCHOOCHOOCH‘OOCH(6)甲苯转化为对硝基甲苯,再还原为对氨基甲苯,参考反应③可得目标产物。
以上就是英语周报2021-2022新目标八下贵阳答案,更多英语周报答案请关注本网站。
本文地址: http://www.ncneedu.cn/post/14149.html
文章来源:admin
版权声明:除非特别标注,否则均为本站原创文章,转载时请以链接形式注明文章出处。
2023-04-05admin
2023-04-05admin
2023-04-05admin
2023-04-05admin
2023-04-05admin
2023-04-05admin
2023-02-24admin
2023-02-24admin
2023-02-24admin
2023-02-24admin
扫码二维码
获取最新动态
