





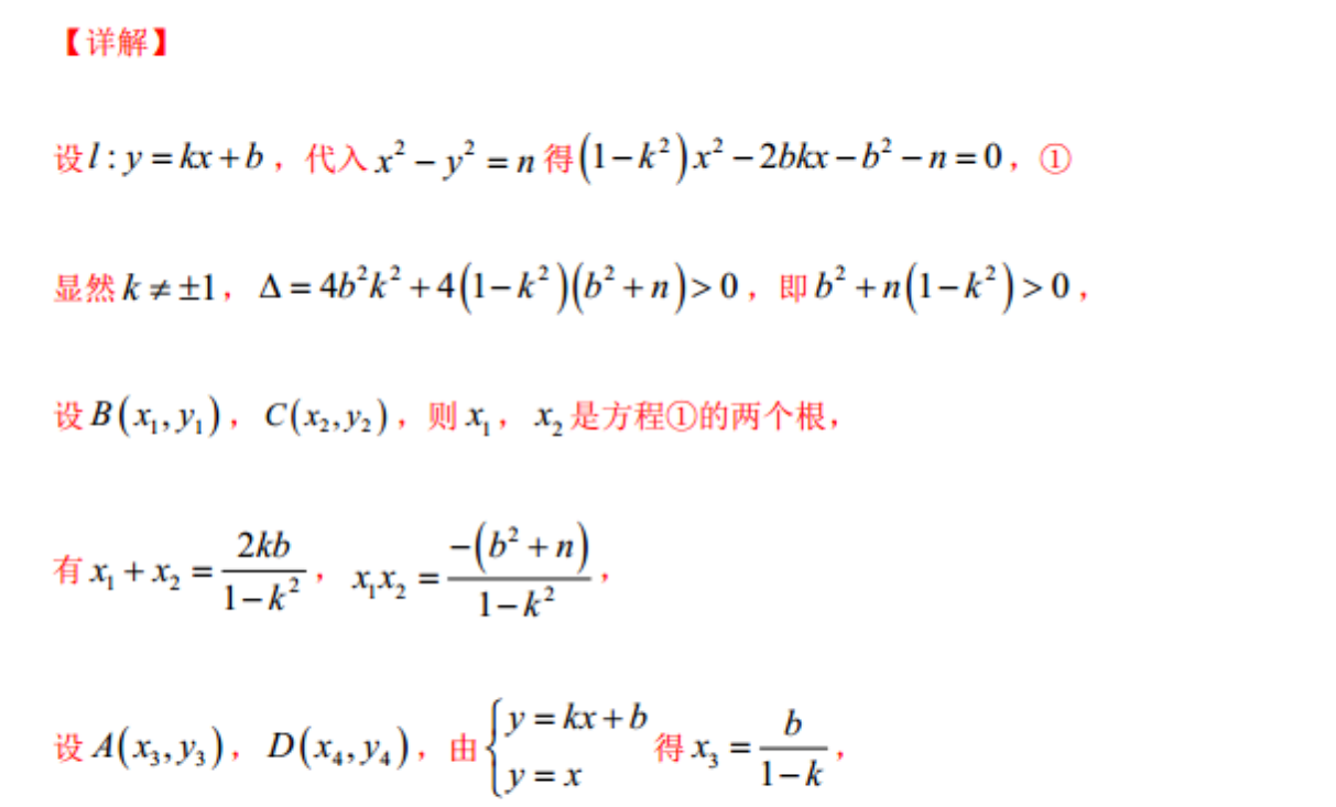
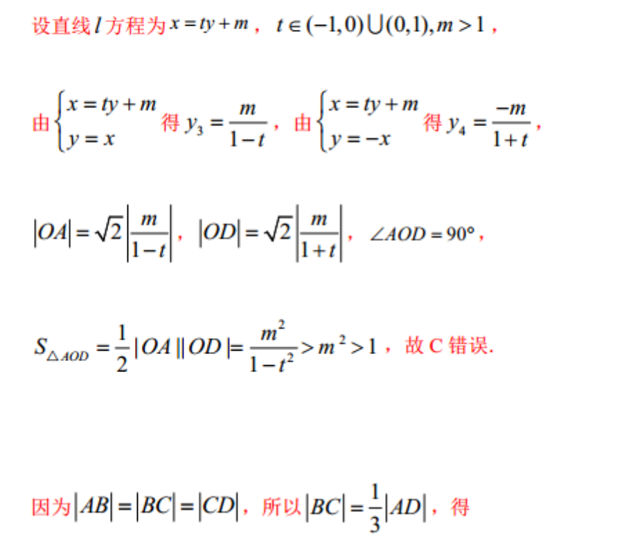
【答案】ABD【详解】设l:y=kx+b,代入x2-y2=n得(1-k2)x2-2bx-b2-n=0,①显然k≠土1,△=45k2+4(1-k2)(b2+n)>0,即b2+n(1-k2)>0,设B(x1,y1),C(x2,y2),则x,x2是方程①的两个根,2kb有x+x2(b2+n)1-k2’x21-kkr+b设A(x,y3),D(xb4”J4)由得x31-ky=hx+由b得x41+k2kb所以x+x、1-2所以AD和BC的中点重合,所以AB=CD,所以C=|BD恒成立.故A正确因为AD和BC的中点重合为P,所以AB=CD又S△BC=1S△AD,所以BC=AD,所以AB=|BC=CD,故B正确设直线l方程为x=p+m,t∈(-1,0)U(0,1),m>1,x=ty+m的=+mn由得y4=y=-x1+tOD,∠AOD=90°,1+tS△oD=|OA‖ODF1-p2~m2>1,故C错误因为AB=1BC=CD,所以BC=|AD,得9+kx+k即bk2-1)>08b所以n>0,k2>1,又14=2D,D=2b∠AOD=901+k所以Sn△AOD=-OAJOD是定值.故D正确k28故选:ABD

答案、提示及分细则21.Cm节理解题,据第一个小标方CA1=20BACA的“01中hn?可知,用户通过对话与其互动的me i standing in front of, sculpture and asks G2A节解,根据三个小标题的wnA1,(m,pho,kCA23,Am节理解,根据第三个小辆题的如“ ble only as video and only on mobile de可知,该序me可知,该程序可以用来发送俏息2用作视所聊
以上就是2022英语周报答案,七年级下册36期牛津,更多英语周报答案请关注本网站。
本文地址: http://www.ncneedu.cn/post/14053.html
文章来源:admin
版权声明:除非特别标注,否则均为本站原创文章,转载时请以链接形式注明文章出处。
2023-04-05admin
2023-04-05admin
2023-04-05admin
2023-04-05admin
2023-04-05admin
2023-04-05admin
2023-02-24admin
2023-02-24admin
2023-02-24admin
2023-02-24admin
扫码二维码
获取最新动态
