

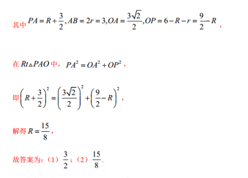
15【答案】【详解】当四个半径为r的小球相切时,小球的半径最大,大球的半径最小如图所示:-}DB个小球的球心和大球的球心构成一个正四棱锥P一ABCD,所以4-=6,解得r≈3其中PA=R+2,AB=2y=30/350P=6-R-=2-R在R△PAO中,PA2=OA2+OP2,叫)的2)2解得P_15故答案为:(1)=:(2)15


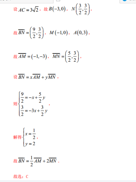
【答案】C【详解】不妨设△ABC为等腰直角三角形,其中∠BAC=90°,以线段BC所在直线为x轴,线段BC的垂直平分线AO为y轴,建立如图所示的平面直角坐标系B M设AC=3√2,故B(-3,0),2’2E-(2),M(-10,.40.3故AM=(-1-3),M=53设BN=xAM+vMN,9’小故B=MM+2M故选:C
以上就是2021-2022高一课标综合英语周报28期答案,更多英语周报答案请关注本网站。
本文地址: http://www.ncneedu.cn/post/14017.html
文章来源:admin
版权声明:除非特别标注,否则均为本站原创文章,转载时请以链接形式注明文章出处。
2023-04-05admin
2023-04-05admin
2023-04-05admin
2023-04-05admin
2023-04-05admin
2023-04-05admin
2023-02-24admin
2023-02-24admin
2023-02-24admin
2023-02-24admin
扫码二维码
获取最新动态
