
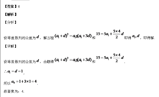
【答案】4【解析】【分析】设等兰数列的公为d,解方程(+=4+30和即得解【详解】设等差数列的公差为d,由题(+d=4与5=+5Mba4=113x1=4故答案为:4

12.【答案】A【命题意图】本题考查函数的令点,导数的应用【解析】设F(x)=xf(x)-2,则F"(x)=rf(x)+2f(x)=r[xf"(x)+2f(x)].因为对于任意的x∈R,恒有y"(x)+2f(x)<0,所以当x>0时,F(x)<0,函数y=F(x)在(0,+∞)上单调递减,当x<0时,F(x)>0所以函数y=F(x)在(-∞,0)上单调递增,所以F(x)=F(0)=-2<0,所以函数y=F(x)没有零点,故g(x)=(x)-3=f)也没有零点
以上就是2021-2022英语周报九年级新目标10答案,更多英语周报答案请关注本网站。
本文地址: http://www.ncneedu.cn/post/13971.html
文章来源:admin
版权声明:除非特别标注,否则均为本站原创文章,转载时请以链接形式注明文章出处。
2023-04-05admin
2023-04-05admin
2023-04-05admin
2023-04-05admin
2023-04-05admin
2023-04-05admin
2023-02-24admin
2023-02-24admin
2023-02-24admin
2023-02-24admin
扫码二维码
获取最新动态
