

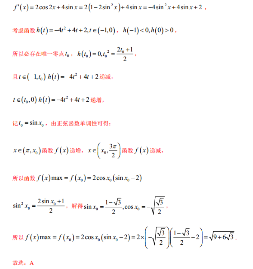
【答案】A【详解】由题f(x)=sin2x-4cosx=f(x+2x),只需考虑x∈[0,2x]函数最值即可,f(r)=sin 2x-4cosx=2 cos x(sinx-23丌所以当inx<0.cox<0即x∈x,//时函数取得最大值,f(x)=2 cos 2x+4sin x=2(1-2sin2'x)+4sin x=-4sin'x+sinx+2考虑函数h()=-42+4+2,t∈(-1,0),h(-1)<0h()>0,所以必存在唯一零点4,h()2=042=2且∈(-1,0)h()=42+4+2递减,t∈(,0)h()=-42+4+2递增记lo=sinx,由正弦函数单调性可得:G数(小12(2)画数()减所以函数∫(x)max=f(x)=2cosx(sinx-2)sinx. +lRo,解得sinx=,coSro2所以f(x)max=f(x)=2cosx(smx-2)=232故选:A

6.【核心考点】检测生物组织中的有机物的实验;叶绿体中色素的提取和分离实验【标准答案】B【试题解析】A、叶绿体色素分离的原理:不同色素在层析液中的溶解度不同,溶解度高的扩散得快,A正确B、鉴定还原糖时,为避免样液本身颜色的干扰,应选取接近白色或无色的材料,如苹果和梨。甘蔗富含蔗糖,蔗糖为非还原性糖,B错误;C、苏丹Ⅲ染液对花生子叶染色后,需滴加体积分数为50%酒精洗去浮色,便于观察,C正确;D、双缩脲试剂可与含2个及以上肽键的化合物发生紫色反应,豆浆煮沸变性后蛋白质的空间结构被破坏,但其中肽键没有断裂因此仍然能与双缩脲试剂反应,D正确。考情分析】“观察类”“鉴定类”-精准掌握选材、试剂、颜色。
以上就是2021-2022 英语周报 八年级 zy课标 22答案,更多英语周报答案请关注本网站。
本文地址: http://www.ncneedu.cn/post/13934.html
文章来源:admin
版权声明:除非特别标注,否则均为本站原创文章,转载时请以链接形式注明文章出处。
2023-04-05admin
2023-04-05admin
2023-04-05admin
2023-04-05admin
2023-04-05admin
2023-04-05admin
2023-02-24admin
2023-02-24admin
2023-02-24admin
2023-02-24admin
扫码二维码
获取最新动态
