
23.解;(1)解法一因为a>0,b>0,c>0且a+b+c=1,所以2c+(Ja+1+√b+1)2=2+a+1+b+1+2√(a+1)(b+1)≤2+a+1+b+1+(a+1)+(b+1)=2(a+b+c)+4=6.…(4分)当且仅当a+1=b+1,即a=b时等号成立5分解法二因为a>0,b>0,e>0且a+b+c=1,所以2e+(√a+1+√b+1)2≤2+2[(√a+1)2+(√b+1)2]=2e+2(a+1+b+1)=2(c+a+1+b+1)=6“(4分)当且仅当a+1=b+1,即a=b时等号成立(5分)(2)因为a>0,b>0,c>0且a+b+c=1,所以(a+b)+(b+e)+(a+c)=2…………(6分所以+1+a+2a+bb+c+。)[(a+b)+(b+e)+(a+)1(1+9+但++9++1+++9+,+1)=[3+(0+bb+cb)+(++9+)+(c a+)9+2a+aNa+b a+e……(9分)当且仅当a=b=c=时等号成立所以a+b+b++a+10分)

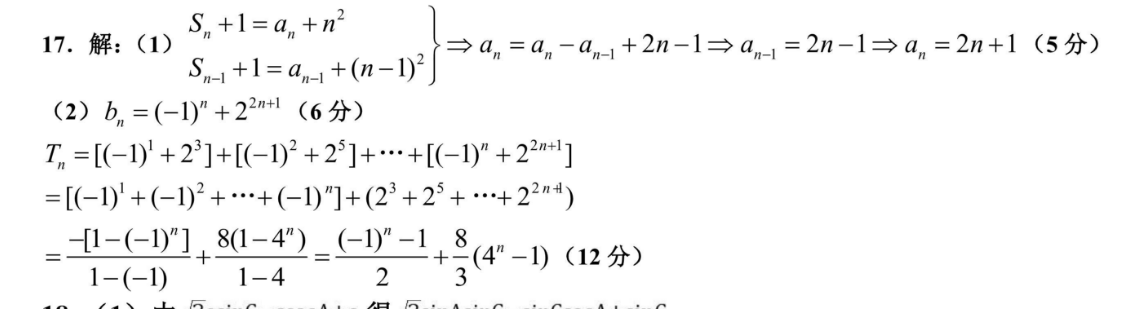
S+1=a.+n解:(1)2n-1→2n-1→a,=2n+1(5分)Sn1+1=an1+(n-1)(2)bn=(-1)+22n(6分)Tn=(-1)2+2]+(-1)2+23]+…+[(-1)”+22m[(-1)+(-1)2+…+(-1)]+(23+23+…+22n-(1+8=4)=(y-1+8(4-1)(12分1-(-1)2
以上就是英语周报八上2021-2022第一期答案,更多英语周报答案请关注本网站。
本文地址: http://www.ncneedu.cn/post/13586.html
文章来源:admin
版权声明:除非特别标注,否则均为本站原创文章,转载时请以链接形式注明文章出处。
2023-04-05admin
2023-04-05admin
2023-04-05admin
2023-04-05admin
2023-04-05admin
2023-04-05admin
2023-02-24admin
2023-02-24admin
2023-02-24admin
2023-02-24admin
扫码二维码
获取最新动态
