

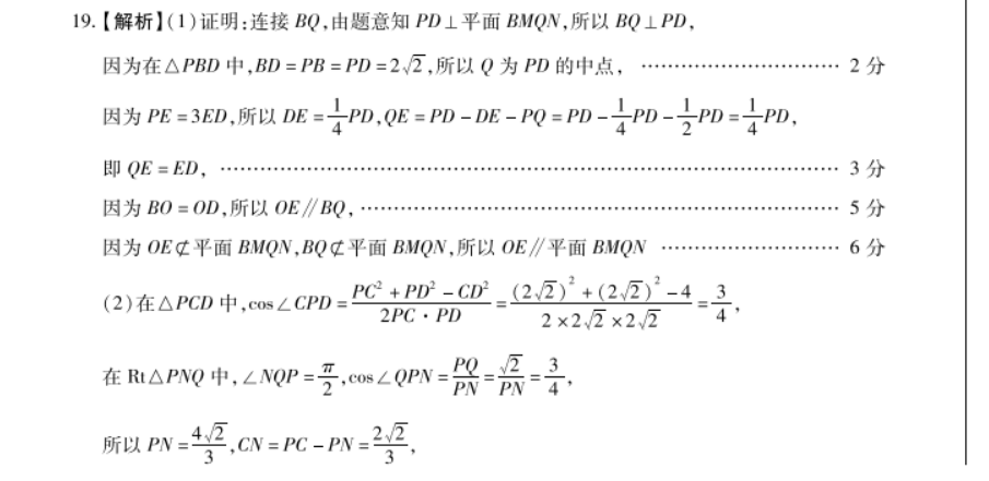
19.【解析】(1)证明:连接BQ,由题意知PD⊥平面BMQN,所以BQ⊥PD因为在△PBD中,BD=PB=PD=22,所以Q为PD的中点因为PE=3ED,所以DE=PD,QE=PD-DE-PQ=PD-PD-PD=1PD即QE=ED,3分因为BO=OD,所以OE∥BQ,……5分因为OE¢平面BMQN,BQ¢平面BMQN所以OE∥平面BMQN6分(2)在△PCD中,c∠CPD=PC+PD=CD=(2)+(2)-4=3,在R△PQ中,∠NP=,m∠P=m、+22×2所以PN=+2CNE PC-PN22即点N为线段PC上靠近C的三等分点,7分以O为原点,建立如图所示的空间直角坐标系,则0(0,0,0),A(0,-√2,0),B(2,0,0),C(0,2,0),D(-2,0,0),P(0,0,6)8分2Q(-2,0所以NQ=(222√66),AB=(、2,2,0),AP=(0,2,,坐√6),设平面PAB的法向量为n=(x,y,z),2x+y=0,取z=1,n=(3,-3,1)10分2y+6:=0设直线NQ与平面PAB所成角为6,√6则sinf=|cos<№Q,n>|=11分综上,直线M与平面PAB所成角的正弦值为…



17.(1)甲(1分)H2C2O4·2H2O=3H2O+CO↑十CO2↑(1分)冷凝草酸蒸气,避免对二氧化碳的检验产生于扰(1分)C0有毒,缺少尾气处理装置(1分)(2)HCO:+ H;C: O. HC2 O*+CO:1+H:O(1分)(3)反应产生的锰离子起催化作用,加快了反应速率(1分)5H2C2O4+2MnO4+6H=10CO2↑2Mn2++8H2O(1分)(4)使受热均匀,便于控制温度(1分)(5)烧杯、玻璃棒、100mL容量瓶、胶头滴管(1分)当滴入最后一滴酸性高锰酸钾溶液时,溶液由无色变到粉红色(或淡红色),且半分钟内颜色不变(1分)12.6aV8m100%(1分)【解析】(1)加热固体,应避免试管炸裂,如固体易熔化,应避免药品熔化后流出试管,选装置甲;草酸不稳定,受热易分解,且草酸易升华,所以分解产物中含有草酸,草酸常温下为无色晶体,所以装置B的作用是冷却草酸蒸气,装置C用来检验二氧化碳,装置D中有碱性溶液,能吸收二氧化碳,装置E是检验二氧化碳是否除尽,装置F用来干燥气体,如果装置G中固体变红色、装置H溶液变浑浊,说明生成气体中含有CO,CO有毒,不能直接排放到空气中,所以应该有尾气处理装置。(2)草酸的酸性强于碳酸,且草酸足量,离子方程式为HCOz+H2C2O4—HC2O-+CO2↑+H2O(3)由题意可知,生成的锰离子能作催化剂,能加快反应速率,该反应的离子方程式为2MnO7+5H2C2O4+6H—2Mn2++10CO2↑+8H2O(4)该实验要求温度为55~60℃,故采用水浴加热法,水浴加热的优点为使受热均匀,便于控制温度(5)配制100mL草酸溶液,需要称量、溶解、转移、洗涤、定容等操作,则需要的玻璃仪器有烧杯、玻璃棒、100mL容量瓶、胶头滴管;采用0.1mol·L-酸性高锰酸钾溶液滴定该草酸溶液,滴定终点吋,溶液会呈现高锰酸钾溶液的颜色,因此滴定终点的现象是当滴入最后一滴高锰酸钾溶液时,溶液由无色变到粉红色(或淡红色)且半分钟内颜色不变;由化学方程式可知,参加反应的草酸的物质的量为2.5aV×10-mol,则100ml溶液中含草酸的物质的量=25V×10-3mol100mL=12.5aV×10-3mol.则所得草酸晶体的纯度为20 mI125xV×103mol×126g·ml-100%=126VIn g×100%。
以上就是高中英语周报新课程2021-2022高一32答案,更多英语周报答案请关注本网站。
本文地址: http://www.ncneedu.cn/post/13446.html
文章来源:admin
版权声明:除非特别标注,否则均为本站原创文章,转载时请以链接形式注明文章出处。
2023-04-05admin
2023-04-05admin
2023-04-05admin
2023-04-05admin
2023-04-05admin
2023-04-05admin
2023-02-24admin
2023-02-24admin
2023-02-24admin
2023-02-24admin
扫码二维码
获取最新动态
