


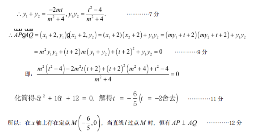
20解:(1)由题2b=2,b=1,又由e=C=得a=2,椭圆方程为:+y2=14分(2)假设存在x轴上的点M(1,0)满足题意,则t∈(-2,2),由(1)A(-2,0①当l斜率不存在时,易得Pt6分un un un un由AP⊥AQ得AP⊥AQ,AP9Q=0,即t+2t2,解得:1=-(=-2合去),即点M的坐标为69…………8分②当l斜率存在时,由①无妨设直线:x=my-,P(x,y),Q(x2,y2),→(m2+4)y-5m-0212m64∴y+y2V1V29分un unAP9Q=(x+2,y)x2+2,y2)=(x+2)(x2+2)+yy2oy+2‖my2==+21+yy241664m2+48m2+16(m2+4)-64myy2+=m(1+y2 +a+yy2LAP⊥Q,即AP⊥4Q………11分综上:在x轴上存在定点M/60.当直线l过点M时,恒有AP⊥AQ……12分2)解法二:假设存在点M(,0)满足条件,由题可设直线:x=my+设P(x,y,Q(x2y),由{x2→(m2+4)y2+2mty+t2-4=02mtt2-4y1+y2m2+4,127分uu uPgQ=(x1+2,y)gx2+2,y2)=(x+2)(x2+2)+wy2=(my1+t+2)(my2+t+2)+y2myy2+(t+2)m(y1+y2)+(t+2)+yy29分t2mt(t+2)+(t+2+4]+t2-4+4化简得2+1+12=0解得t=-(=2合去)……11分所以:在x轴上存在定点M/60.当直线l过点M时,恒有AP⊥AQ………12分

答案与解析【解题导语】本文是一篇记蚁文,讲迷了一个芳人帮助一只正在破茧的蝴蝶破茧,却导致了蝴蝶不能飞翔的悲剧.告诉我们人生中的斗争是不可缺的,我们要有斗争意识,否则我们永远不会飞,“ We would not be as strongas we could have been. And we could never fly.”是本文的主旨丸禽句,28.D细节理解题。第一段中“ the butterfly struggled to force its bodythrough that little hole"可知蝴蝶正在努力的破茧。故选D.C29C细节理解题。第四段中“ the butterfly to get through the tiny open-ng was God's way of forcing fluid( it )from the body of the but-terfly into its wings so that it would be ready for flight once it achieved its freedom from the cocoon.”蝴蝶破茧是长出翅膀的必经之路,如果没有男人的帮助蝴蝶会通过小孔破茧长出翅膀,会飞向天空,但男人帮助它之后破坏了它的生长规律,它的翅膀没有发育完整,不能飞翔了。故选C. a or&Y1%10a,2,M30.B内容分析题。由最后一段中“ Sometimes struggles are exactly whatwe need in our life.”可知斗争在我们生活中是必要的,故选B531.A内容分析题,由文章最后两段可知本文主要讲述了为自由做斗争的意义,故选A. m at doid y toned i
以上就是2019-2022高二英语周报牛津第37期答案,更多英语周报答案请关注本网站。
本文地址: http://www.ncneedu.cn/post/13013.html
文章来源:admin
版权声明:除非特别标注,否则均为本站原创文章,转载时请以链接形式注明文章出处。
2023-04-05admin
2023-04-05admin
2023-04-05admin
2023-04-05admin
2023-04-05admin
2023-04-05admin
2023-02-24admin
2023-02-24admin
2023-02-24admin
2023-02-24admin
扫码二维码
获取最新动态
