

37.(1)我国西部生态环境脆弱,祁连山蕴含的大量森林、湿地等生态环境功能显著;山体高大阻挡周围沙漠的扩张,是南部“中华水塔”三江源乃至整个青藏高原生态安全的屏障;冰雪融水丰富,为河西走廊绿洲提供水源,保障生态可持续发展。(6分)(2)北坡处于迎风坡,降水多;夏季气温较高对应的海拔区域长有植被,因此荒漠带缺失。(4分)(3)分布差异:南部以金露梅灌丛为主;中部以高山蒿草甸为主;北部海拔低的以高寒杜鹃灌丛为主,海拔高一些的以高山垫状植被为主。(6分南北差异主要影响因素是水分,北坡垂直差异的主要影响因素是热量。(2分)(4)原因:东祁连山植被退化严重的地区主要分布在地势较低的河谷和青海湖附近,人口和城市较多,毁林开荒、过度放牧、砍伐薪柴及开矿等人类活动影响较大。(2分)后果:可能加剧土地荒漠化、生态环境恶化、生物多样性减少;植被涵养水源、保持水土功能下降,下游河流水质变差。(4分)【命题点拨】本题考查自然地理环境的整体性与差异性相关知识点,考查获取和解读地理信息、论证和探讨地理问题能力,考查区域认知、综合思维素养。【解题思路】(1)祁连山的生态功能可结合所学知识从我国西部生态环境脆弱、防止沙漠扩张、冰雪融水丰富等角度分析。(2)祁连山的北坡处于迎风坡,降水较多、气温较高,对应的海拔区域长有植被,因此荒漠带缺失(3)分布差异可通过读图得出。注意灌丛到草甸草原的变化体现了水分差异,垫状植被到草原的变化体现了热量的差异。(4)祁连山平均海拔4000-6000米,海拔高,东祁连山植被退化严重的地区集中于河谷和青海湖周边的地区,这些地区海拔相对较低,热量较充足,地形平坦,是人口、城市、农牧业分布比较集中的地区,故植被减少主要与人类不合理活动或过度利用资源有关。植被覆盖率下降使生态环境恶化、土地荒漠化,植被涵养水源保持水土功能减弱,进而影响下游地区生态环境安全



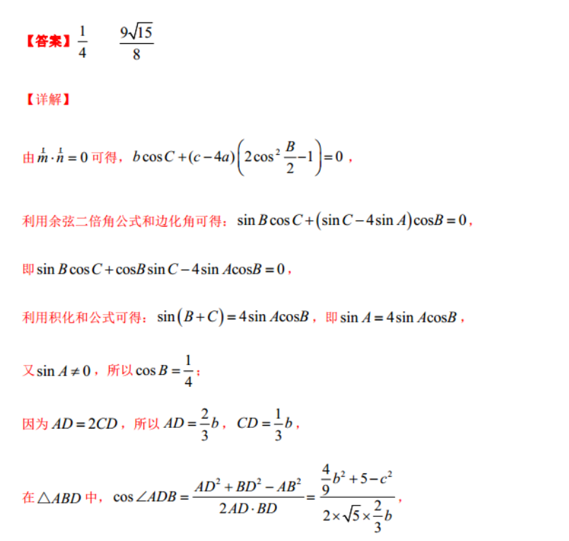
【答案】19√15【详解】由m,h=0可得, bcos c+(cB2利用余弦二倍角公式和边化角可得: sin B cos C+(sinC-4sinA)cosB=0,EU sin b C+cos sin C-4sin AcosB=0利用积化和公式可得:sin(B+C)=4 t sin acos,即sinA=4 sin acos,又sinA≠0,所以cosB因为AD=2CD,所以AD==b,CD=-b,4在△ABD中,cos∠ADBP、AD2+BD2-AB2b2+52AD·BD2×√5×-bCD2+BD'-BCb2+5在△BCD中,cos∠CDB2CD. BD2×√5×-b又cos∠ADB=-cos∠CDB,b2+5-cb2+5-a所以有,即2b2-6a2-3c2+45=0,①2×√5×=b2×√5×b又b2=a2+c2-2 ac cos B=a2+c2--ac,②将②代入①得,4a2+c2+ac-45=0,又4a2+c2≥4ac,所以-ac+45≥4ac,即ac≤9由csB4·0
以上就是英语周报高一外研第40期2021-2022答案,更多英语周报答案请关注本网站。
本文地址: http://www.ncneedu.cn/post/12925.html
文章来源:admin
版权声明:除非特别标注,否则均为本站原创文章,转载时请以链接形式注明文章出处。
2023-04-05admin
2023-04-05admin
2023-04-05admin
2023-04-05admin
2023-04-05admin
2023-04-05admin
2023-02-24admin
2023-02-24admin
2023-02-24admin
2023-02-24admin
扫码二维码
获取最新动态
