

22【解析】(1)当a=45°时,直线1的参数方程为(t为参数√2消去t得直线l的普通方程为x-y+1=0曲线C的方程为P=4sin9,所以p2=4psin0,即x2+y2-4y=0整理得曲线C的直角坐标方程为x2+(y-2)2=4(2)将为参数整理得2-2sina·t-3=0,易知△>0,设方程的两根分别为t1,t2A /+t2=sina,t1t2--3所以|AB|=1t1-t21=√(t1+t2)2=41t2=√4smna+128分当sin2a=1即a=时,AB取得最大值为4当sin2a=0即a=0时,AB取得最小值为2.…




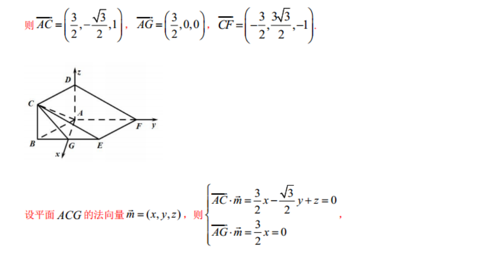
【答案】(1)证明见解析:(2)√21035【详解】(1)证明:∵矩形ABCD和菱形ABEF所在的平面相互垂直,AD⊥AB,矩形ABCD∩菱形ABEF=AB,AD⊥平面ABEF,∵AGc平面ABEF,∴AD⊥AG,∴菱形ABEF中,∠ABE=60°,G为BE的中点,AG⊥BE,∴AG⊥AF,∵AD∩AF=A,∴AG⊥平面ADF又AGc平面AGC,∴平面AGC⊥平面ADF(2)由(1)可知AD,AF,AG两两垂直,以A为原点,AG为x轴,AF为y轴,AD为z轴,建立空间直角坐标系,因为AB=√3,BC=1,则AD=1,AG2故A(0,0.,0),22,D00,G,0ol.F(.3.0则C=/33330,03√3AC·m==x设平面ACG的法向量m=(x,y,z),则23AG·m=-x2取y=2,得厉=(0,2,设直线CF与平面ACG所成角为,210则sinO=cos
以上就是英语周报,初一二第第22期答案,更多英语周报答案请关注本网站。
本文地址: http://www.ncneedu.cn/post/12900.html
文章来源:admin
版权声明:除非特别标注,否则均为本站原创文章,转载时请以链接形式注明文章出处。
2023-04-05admin
2023-04-05admin
2023-04-05admin
2023-04-05admin
2023-04-05admin
2023-04-05admin
2023-02-24admin
2023-02-24admin
2023-02-24admin
2023-02-24admin
扫码二维码
获取最新动态
